【药物名称】Teoprolol, D-13312(hydrochloride)
化学结构式(Chemical Structure):
参考文献No.900310
标题:
作者:Offermans, H.; Klingler, K.H.; Thiemer, K.; Stroman, F.
来源:DE 2716210; GB 1527543; US 4144340
合成路线图解说明:

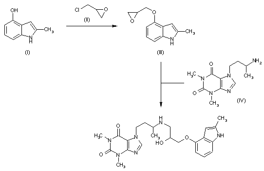
Teoprolol has been synthesized as follows: 2-methyl-4-hydroxyindole (I) reacts with epichlorohydrin (II) to the epoxide (III). The alkylation of theophylline alkylamine (IV) with (III) yields teoprolol.

参考文献No.950055
标题:Teoprodol
作者:Klinger, K.H.; Stroman, F.; Thiemer, K.; Engel, J.
来源:Drugs Fut 1982,7(11),825
合成路线图解说明:

Teoprolol has been synthesized as follows: 2-methyl-4-hydroxyindole (I) reacts with epichlorohydrin (II) to the epoxide (III). The alkylation of theophylline alkylamine (IV) with (III) yields teoprolol.

Drug Information Express,Drug R&D,Chemical Database,Patent Search.
Copyright © 2006-2026 Drug Future. All rights reserved.Contact Us