【药物名称】Perafensine hydrochloride, HR-459
化学结构式(Chemical Structure):
参考文献No.900303
标题:
作者:Bartmann, W.; Konz, E.; Geyer, H.M.
来源:DE 2818403; EP 5232; JP 79148792; US 4282222; ZA 7902018
合成路线图解说明:

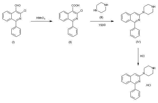
The oxidation of 3-chloro-1-phenylisoquinoline-4-carbaldehyde (I) with KMnO4 in acetone - aqueous phosphate buffer gives 3-chloro-1-phenylisoquinoline-4-carboxylic acid (II), which is then condensed with piperazine (III) by heating at 150 C to yield the free base (IV). The HCl salt is formed with ethanolic HCl.

参考文献No.950050
标题:Perafensine Hydrochloride
作者:Blancafort, P.; Serradell, M.N.; Casta馿r, J.
来源:Drugs Fut 1982,7(8),580
合成路线图解说明:

The oxidation of 3-chloro-1-phenylisoquinoline-4-carbaldehyde (I) with KMnO4 in acetone - aqueous phosphate buffer gives 3-chloro-1-phenylisoquinoline-4-carboxylic acid (II), which is then condensed with piperazine (III) by heating at 150 C to yield the free base (IV). The HCl salt is formed with ethanolic HCl.

Drug Information Express,Drug R&D,Chemical Database,Patent Search.
Copyright © 2006-2026 Drug Future. All rights reserved.Contact Us