【药物名称】Pacrinolol
化学结构式(Chemical Structure):
参考文献No.803961
标题:Pacrinolol
作者:Serradell, M.N.; Casta馿r, J.; Bad韆, A.
来源:Drugs Fut 1984,9(3),203
合成路线图解说明:

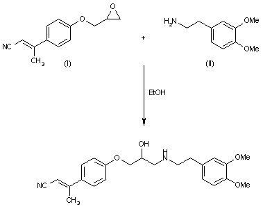
By condensation of 3-[4-(2,3-oxidopropoxy)phenyl]crotonic acid nitrile (I) with homoveratrylamine (II) in refluxing ethanol

参考文献No.900193
标题:
作者:Fritsch, W.; Stache, U.; Lindner, E. (Hoechst AG)
来源:BE 855041; DE 2623314; FR 2353520; GB 1577670; JP 7812827; US 4191765
合成路线图解说明:

By condensation of 3-[4-(2,3-oxidopropoxy)phenyl]crotonic acid nitrile (I) with homoveratrylamine (II) in refluxing ethanol

Drug Information Express,Drug R&D,Chemical Database,Patent Search.
Copyright © 2006-2026 Drug Future. All rights reserved.Contact Us