【药物名称】Alafosfalin
化学结构式(Chemical Structure):
参考文献No.900295
标题:
作者:
来源:BE 844377
合成路线图解说明:

The reaction of ethyl alpha-bromopropionate (I) with triethyl phosphite (II) by heating at 160-90 C gives triethyl alpha-phosphonopropionate (III) (1), which by reaction with hydrazine is converted into the corresponding hydrazide (IV). The nitrosation of (IV) with NaNO2 and HCl affords the azide (V), which spontaneously evolves N2 yielding the isocyanate (VI). The hydrolysis of (VI) with ethanol gives the carbamate (VII), which is hydrolyzed with concentrated aqueous HCl affording 1-aminoethylphosphonic acid (VIII) (2). The protection of the NH2 group with benzyl chloroformate (IX) gives the N-carbobenzoxy derivative (X), which is esterified with triethyl orthoformate to the protected ester (XI). Hydrogenolysis of (XI) with H2 over Pd/C in methanol yields diethyl 1-aminoethylphosphonate (XII), which is condensed with N-carbobenzoxy-L-alanine (XIII) by means of DCC in CH2Cl2 giving diethyl N-(carbobenzoxy-L-alanyl)-1-aminoethylphosphonic acid (XIV). Finally this compound is hydrolyzed with HBr in acetic acid (3-6).

参考文献No.900296
标题:
作者:
来源:BE 837888
合成路线图解说明:

The reaction of ethyl alpha-bromopropionate (I) with triethyl phosphite (II) by heating at 160-90 C gives triethyl alpha-phosphonopropionate (III) (1), which by reaction with hydrazine is converted into the corresponding hydrazide (IV). The nitrosation of (IV) with NaNO2 and HCl affords the azide (V), which spontaneously evolves N2 yielding the isocyanate (VI). The hydrolysis of (VI) with ethanol gives the carbamate (VII), which is hydrolyzed with concentrated aqueous HCl affording 1-aminoethylphosphonic acid (VIII) (2). The protection of the NH2 group with benzyl chloroformate (IX) gives the N-carbobenzoxy derivative (X), which is esterified with triethyl orthoformate to the protected ester (XI). Hydrogenolysis of (XI) with H2 over Pd/C in methanol yields diethyl 1-aminoethylphosphonate (XII), which is condensed with N-carbobenzoxy-L-alanine (XIII) by means of DCC in CH2Cl2 giving diethyl N-(carbobenzoxy-L-alanyl)-1-aminoethylphosphonic acid (XIV). Finally this compound is hydrolyzed with HBr in acetic acid (3-6).

参考文献No.900297
标题:
作者:Atherton, F.R.; et al.
来源:DE 2602193
合成路线图解说明:

The reaction of ethyl alpha-bromopropionate (I) with triethyl phosphite (II) by heating at 160-90 C gives triethyl alpha-phosphonopropionate (III) (1), which by reaction with hydrazine is converted into the corresponding hydrazide (IV). The nitrosation of (IV) with NaNO2 and HCl affords the azide (V), which spontaneously evolves N2 yielding the isocyanate (VI). The hydrolysis of (VI) with ethanol gives the carbamate (VII), which is hydrolyzed with concentrated aqueous HCl affording 1-aminoethylphosphonic acid (VIII) (2). The protection of the NH2 group with benzyl chloroformate (IX) gives the N-carbobenzoxy derivative (X), which is esterified with triethyl orthoformate to the protected ester (XI). Hydrogenolysis of (XI) with H2 over Pd/C in methanol yields diethyl 1-aminoethylphosphonate (XII), which is condensed with N-carbobenzoxy-L-alanine (XIII) by means of DCC in CH2Cl2 giving diethyl N-(carbobenzoxy-L-alanyl)-1-aminoethylphosphonic acid (XIV). Finally this compound is hydrolyzed with HBr in acetic acid (3-6).

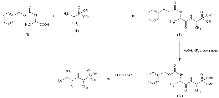
参考文献No.950034
标题:Transesterification of diphenyl phosphonates using the potassium fluoride/crown ether/alcohol system. Part 2. The use of diphenyl 1-amin oalkanephosphonates in phosphonopeptide syntesis.
作者:Lejczak, B.; Kafarski, P.; Szewczyk, J.
来源:Synthesis 1982,5412-414
合成路线图解说明:

A new synthesis of alafosfalin has been reported : The condensation of N-carbobenzoxy-L-alanine (I) with diphenyl 1-aminoethylphosphonate (II) gives the protected phenyl ester (III), which is transesterified with methanol - KF - crown ether to the corresponding protected dimethyl ester (IV). Finally this compound is deprotected and hydrolyzed with HBr in acetic acid.

参考文献No.950035
标题:Phosphorous derivatives of fatty acids. III. TrialKyl a-phosphonates.
作者:Ackerman, B.; et al.
来源:J Am Chem Soc 1957,796524-6526
合成路线图解说明:

The reaction of ethyl alpha-bromopropionate (I) with triethyl phosphite (II) by heating at 160-90 C gives triethyl alpha-phosphonopropionate (III) (1), which by reaction with hydrazine is converted into the corresponding hydrazide (IV). The nitrosation of (IV) with NaNO2 and HCl affords the azide (V), which spontaneously evolves N2 yielding the isocyanate (VI). The hydrolysis of (VI) with ethanol gives the carbamate (VII), which is hydrolyzed with concentrated aqueous HCl affording 1-aminoethylphosphonic acid (VIII) (2). The protection of the NH2 group with benzyl chloroformate (IX) gives the N-carbobenzoxy derivative (X), which is esterified with triethyl orthoformate to the protected ester (XI). Hydrogenolysis of (XI) with H2 over Pd/C in methanol yields diethyl 1-aminoethylphosphonate (XII), which is condensed with N-carbobenzoxy-L-alanine (XIII) by means of DCC in CH2Cl2 giving diethyl N-(carbobenzoxy-L-alanyl)-1-aminoethylphosphonic acid (XIV). Finally this compound is hydrolyzed with HBr in acetic acid (3-6).

参考文献No.950036
标题:A new synthesis of amino phosphonic acids
作者:Chambers, J.R.; Isbell, A.F.
来源:J Org Chem 1964,29832-836
合成路线图解说明:

The reaction of ethyl alpha-bromopropionate (I) with triethyl phosphite (II) by heating at 160-90 C gives triethyl alpha-phosphonopropionate (III) (1), which by reaction with hydrazine is converted into the corresponding hydrazide (IV). The nitrosation of (IV) with NaNO2 and HCl affords the azide (V), which spontaneously evolves N2 yielding the isocyanate (VI). The hydrolysis of (VI) with ethanol gives the carbamate (VII), which is hydrolyzed with concentrated aqueous HCl affording 1-aminoethylphosphonic acid (VIII) (2). The protection of the NH2 group with benzyl chloroformate (IX) gives the N-carbobenzoxy derivative (X), which is esterified with triethyl orthoformate to the protected ester (XI). Hydrogenolysis of (XI) with H2 over Pd/C in methanol yields diethyl 1-aminoethylphosphonate (XII), which is condensed with N-carbobenzoxy-L-alanine (XIII) by means of DCC in CH2Cl2 giving diethyl N-(carbobenzoxy-L-alanyl)-1-aminoethylphosphonic acid (XIV). Finally this compound is hydrolyzed with HBr in acetic acid (3-6).

参考文献No.950037
标题:Synthesis and antimicrobial evaluation of N-D-alanyl-1-aminoethylphosphonic acid
作者:Huber, J.W.III; et al.
来源:J Med Chem 1975,18(1),106-108
合成路线图解说明:

The reaction of ethyl alpha-bromopropionate (I) with triethyl phosphite (II) by heating at 160-90 C gives triethyl alpha-phosphonopropionate (III) (1), which by reaction with hydrazine is converted into the corresponding hydrazide (IV). The nitrosation of (IV) with NaNO2 and HCl affords the azide (V), which spontaneously evolves N2 yielding the isocyanate (VI). The hydrolysis of (VI) with ethanol gives the carbamate (VII), which is hydrolyzed with concentrated aqueous HCl affording 1-aminoethylphosphonic acid (VIII) (2). The protection of the NH2 group with benzyl chloroformate (IX) gives the N-carbobenzoxy derivative (X), which is esterified with triethyl orthoformate to the protected ester (XI). Hydrogenolysis of (XI) with H2 over Pd/C in methanol yields diethyl 1-aminoethylphosphonate (XII), which is condensed with N-carbobenzoxy-L-alanine (XIII) by means of DCC in CH2Cl2 giving diethyl N-(carbobenzoxy-L-alanyl)-1-aminoethylphosphonic acid (XIV). Finally this compound is hydrolyzed with HBr in acetic acid (3-6).

参考文献No.950038
标题:Ro 03-7008
作者:Casta馿r, J.; Neuman, M.
来源:Drugs Fut 1978,3(5),392
合成路线图解说明:

The reaction of ethyl alpha-bromopropionate (I) with triethyl phosphite (II) by heating at 160-90 C gives triethyl alpha-phosphonopropionate (III) (1), which by reaction with hydrazine is converted into the corresponding hydrazide (IV). The nitrosation of (IV) with NaNO2 and HCl affords the azide (V), which spontaneously evolves N2 yielding the isocyanate (VI). The hydrolysis of (VI) with ethanol gives the carbamate (VII), which is hydrolyzed with concentrated aqueous HCl affording 1-aminoethylphosphonic acid (VIII) (2). The protection of the NH2 group with benzyl chloroformate (IX) gives the N-carbobenzoxy derivative (X), which is esterified with triethyl orthoformate to the protected ester (XI). Hydrogenolysis of (XI) with H2 over Pd/C in methanol yields diethyl 1-aminoethylphosphonate (XII), which is condensed with N-carbobenzoxy-L-alanine (XIII) by means of DCC in CH2Cl2 giving diethyl N-(carbobenzoxy-L-alanyl)-1-aminoethylphosphonic acid (XIV). Finally this compound is hydrolyzed with HBr in acetic acid (3-6).

Drug Information Express,Drug R&D,Chemical Database,Patent Search.
Copyright © 2006-2026 Drug Future. All rights reserved.Contact Us