【药物名称】Oxfendazole, RS-8858
化学结构式(Chemical Structure):
参考文献No.803959
标题:Oxfendazole
作者:Casta馿r, J.; Bogan, J.A.
来源:Drugs Fut 1976,1(9),438
合成路线图解说明:

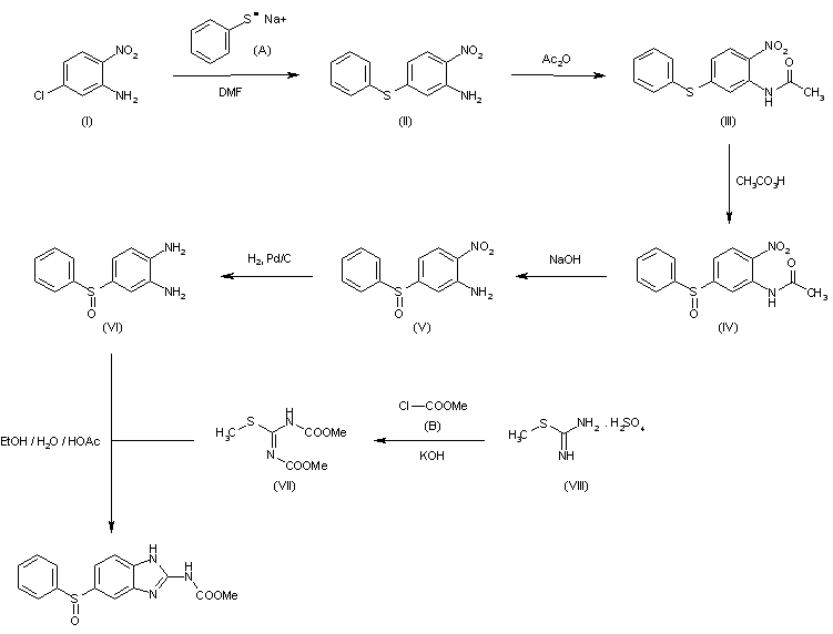
The reaction of 4-chloro-2-amino-1-nitrobenzene (I) with sodium phenylmercaptide (A) in DMF gives 2-amino-4-phenylthio-1-nitrobenzene (II), which is treated with acetic anhydride to yield 2-acetamido-4-phenylthio-1-nitrobenzene (III). This product is oxidized with peracetic acid in methanol giving 2-amino-4-phenylsulfinyl-1-nitrobenzene (V). Then the nitro group is reduced with H2 over Pd/C in methanol yielding 1,2-diamino-4-phenylsulfinylbenzene (VI). This product is finally condensed with N,N?bis(methoxycarbonyl)-S-methylisothiourea (VII) in ethanol - water - acetic acid. The isothiourea (VII) is obtained by reaction of S-methylisothiouronium sulfate (VIII) with methyl chloroformate (B) by means of KOH in water

参考文献No.900190
标题:
作者:Beard, C.C.; et al. (Syntex, Inc.)
来源:DE 2363351
合成路线图解说明:

The reaction of 4-chloro-2-amino-1-nitrobenzene (I) with sodium phenylmercaptide (A) in DMF gives 2-amino-4-phenylthio-1-nitrobenzene (II), which is treated with acetic anhydride to yield 2-acetamido-4-phenylthio-1-nitrobenzene (III). This product is oxidized with peracetic acid in methanol giving 2-amino-4-phenylsulfinyl-1-nitrobenzene (V). Then the nitro group is reduced with H2 over Pd/C in methanol yielding 1,2-diamino-4-phenylsulfinylbenzene (VI). This product is finally condensed with N,N?bis(methoxycarbonyl)-S-methylisothiourea (VII) in ethanol - water - acetic acid. The isothiourea (VII) is obtained by reaction of S-methylisothiouronium sulfate (VIII) with methyl chloroformate (B) by means of KOH in water

Drug Information Express,Drug R&D,Chemical Database,Patent Search.
Copyright © 2006-2026 Drug Future. All rights reserved.Contact Us