【药物名称】Carbuterol, Bronsecur
化学结构式(Chemical Structure):
参考文献No.803958
标题:Carbuterol
作者:Casta馿r, J.; Sungurbey, K.
来源:Drugs Fut 1976,1(9),412
合成路线图解说明:

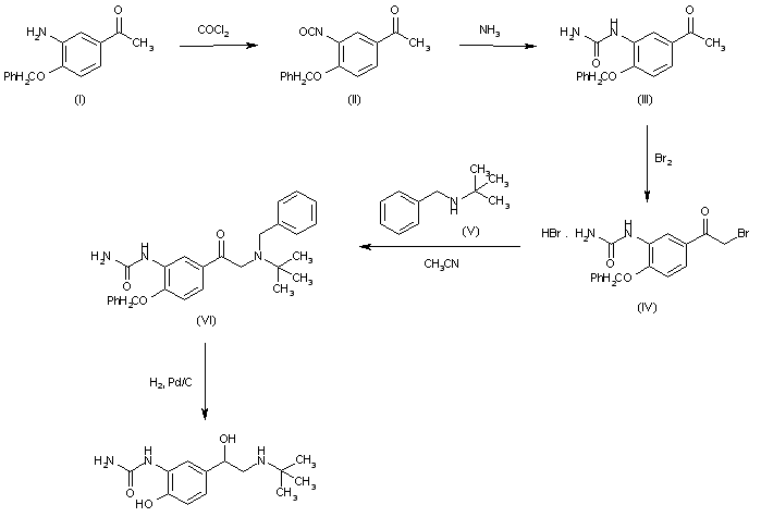
The reaction of 3-amino-4-benzyloxyacetophenone (I) with phosgene in toluene gives 3-isocyanate-4-benzyloxyacetophenone (II), which by reaction with ammonia in benzene yields 4-benzyloxy-3-ureidoacetophenone (III). The bromination of this product with Br2 in CHCl3 affords 4-benzyloxy-3-ureidophenacyl bromide (IV), amorphous product that is condensed with N-benzyl-N-tert-butylamine (V) in acetonitrile giving 4-benzyloxy-3-ureido-alpha-(N-benzyl-N-tert-butylamine)acetophenone hydrochloride (VI), m.p. 220-1 C. This product is finally hydrogenated with H2 over Pd/C in methanol

参考文献No.900189
标题:
作者:Kaiser, C.; et al. (Smith Kline French)
来源:DE 2106620
合成路线图解说明:

The reaction of 3-amino-4-benzyloxyacetophenone (I) with phosgene in toluene gives 3-isocyanate-4-benzyloxyacetophenone (II), which by reaction with ammonia in benzene yields 4-benzyloxy-3-ureidoacetophenone (III). The bromination of this product with Br2 in CHCl3 affords 4-benzyloxy-3-ureidophenacyl bromide (IV), amorphous product that is condensed with N-benzyl-N-tert-butylamine (V) in acetonitrile giving 4-benzyloxy-3-ureido-alpha-(N-benzyl-N-tert-butylamine)acetophenone hydrochloride (VI), m.p. 220-1 C. This product is finally hydrogenated with H2 over Pd/C in methanol

Drug Information Express,Drug R&D,Chemical Database,Patent Search.
Copyright © 2006-2026 Drug Future. All rights reserved.Contact Us