【药物名称】Tolonidine, ST-375
化学结构式(Chemical Structure):
参考文献No.803954
标题:Tolonidine
作者:Casta馿r, J.; Chatterjee, S.S.
来源:Drugs Fut 1976,1(5),263
合成路线图解说明:

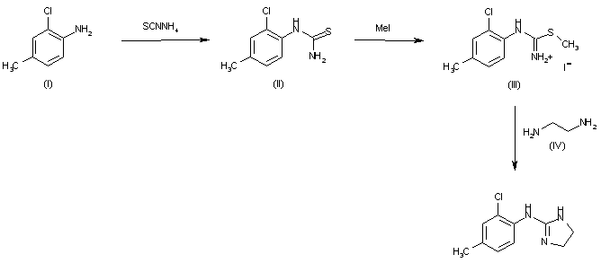
By reaction of 2-chloro-p-toluidine (I) with ammonium thiocyanide to give N-(2-chloro-p-tolyl)thiourea (II), which is then treated with methyl iodide in methanol to yield N-(2-chloro-p-tolyl)-S-methylisothiouronium iodide (III), which, without purification is condensed with ethylenediamine (IV) at 150-50 C.

参考文献No.900187
标题:
作者:(Boehringer Ingelheim GmbH)
来源:GB 1034938
合成路线图解说明:

By reaction of 2-chloro-p-toluidine (I) with ammonium thiocyanide to give N-(2-chloro-p-tolyl)thiourea (II), which is then treated with methyl iodide in methanol to yield N-(2-chloro-p-tolyl)-S-methylisothiouronium iodide (III), which, without purification is condensed with ethylenediamine (IV) at 150-50 C.

Drug Information Express,Drug R&D,Chemical Database,Patent Search.
Copyright © 2006-2026 Drug Future. All rights reserved.Contact Us