【药物名称】Bunitrolol, KO-1366
化学结构式(Chemical Structure):
参考文献No.803951
标题:Bunitrolol
作者:Casta馿r, J.; Chatterjee, S.S.
来源:Drugs Fut 1976,1(5),210
合成路线图解说明:

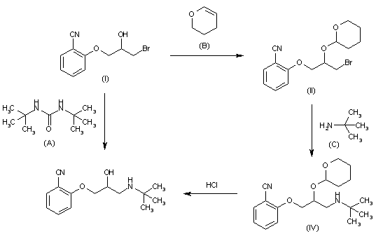
It can be prepared in several different ways: 1) By reaction of the 1-(2-cyanophenoxy)-2-hydroxy-3-bromopropane (I) with N,N?di-tert-butylurea (A) in tetralin at 200 C. 2) By condensation of the 1-(2-cyanophenoxy)-2-hydroxy-3-bromopropane (I) with dihydropyrane (B) to the corresponding tetrahydropyranyl ether (III), which is condensed with tert-butylamine (C) in benzene to 1-(2-cyanophenoxy)-3-tert-butylaminopropanol-2-tetrahydropyranyl ether (IV) (oxalate, m.p. 102-5 C), which is finally hydrolyzed with diluted HCl at 100 C.

合成路线图解说明:

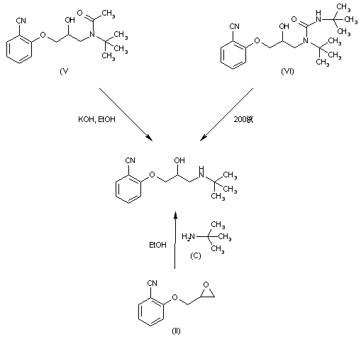
It can be prepared in several different ways: 3) By hydrolysis of 1-(2-cyanophenoxy)-2-hydroxy-3-(N-acetyl-N-tert-butylamino)propane (V) with KOH in refluxing ethanol. 4) By heating N,N?di-tert-butyl-N-[(2-hydroxy-3-O-cyanophenoxy)propyl]urea (VI) at 200 C in tetralin. 5) By condensation of the 1-(2-cyanophenoxy)-2,3-epoxypropane (II) with tert-butylamine (C) in ethanol.

参考文献No.900186
标题:
作者:Koeppe, H.; et al. (Boehringer Ingelheim GmbH)
来源:ZA 6803783
合成路线图解说明:

It can be prepared in several different ways: 1) By reaction of the 1-(2-cyanophenoxy)-2-hydroxy-3-bromopropane (I) with N,N?di-tert-butylurea (A) in tetralin at 200 C. 2) By condensation of the 1-(2-cyanophenoxy)-2-hydroxy-3-bromopropane (I) with dihydropyrane (B) to the corresponding tetrahydropyranyl ether (III), which is condensed with tert-butylamine (C) in benzene to 1-(2-cyanophenoxy)-3-tert-butylaminopropanol-2-tetrahydropyranyl ether (IV) (oxalate, m.p. 102-5 C), which is finally hydrolyzed with diluted HCl at 100 C.

合成路线图解说明:

It can be prepared in several different ways: 3) By hydrolysis of 1-(2-cyanophenoxy)-2-hydroxy-3-(N-acetyl-N-tert-butylamino)propane (V) with KOH in refluxing ethanol. 4) By heating N,N?di-tert-butyl-N-[(2-hydroxy-3-O-cyanophenoxy)propyl]urea (VI) at 200 C in tetralin. 5) By condensation of the 1-(2-cyanophenoxy)-2,3-epoxypropane (II) with tert-butylamine (C) in ethanol.

Drug Information Express,Drug R&D,Chemical Database,Patent Search.
Copyright © 2006-2026 Drug Future. All rights reserved.Contact Us