【药物名称】Prednimustine
化学结构式(Chemical Structure):
参考文献No.900292
标题:
作者:Fex, H.L.; et al.
来源:DE 2001305
合成路线图解说明:

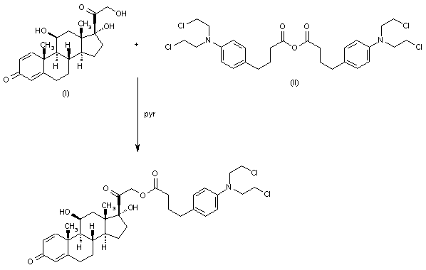
By condensation of prednisole (I) with 4-[p-(bis-(2-chloroethyl)amino)phenyl]butyric anhydride (II) in pyridine.

参考文献No.950033
标题:Prednimustine
作者:Casta馿r, J.; Arrigoni-Martelli, E.
来源:Drugs Fut 1976,1(3),137
合成路线图解说明:

By condensation of prednisole (I) with 4-[p-(bis-(2-chloroethyl)amino)phenyl]butyric anhydride (II) in pyridine.

Drug Information Express,Drug R&D,Chemical Database,Patent Search.
Copyright © 2006-2026 Drug Future. All rights reserved.Contact Us