【药物名称】Floctafenine, Ru-15750, R-4318, Idarac
化学结构式(Chemical Structure):
参考文献No.803949
标题:NMR structure of tissue inhibitor of metalloproteinases-1 implicates localized induced fit in recognition of matrix metalloproteinases
作者:Allais, A.; et al.
来源:Chim Ther 1973,8(2),154
合成路线图解说明:

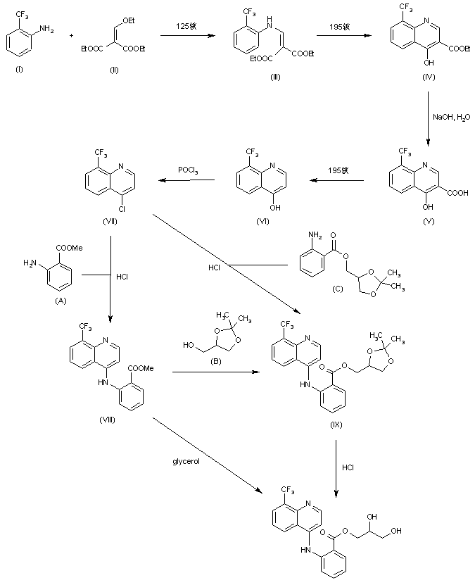
1) Condensation of 2-trifluoromethylaniline (I) with ethyl ethoxymethylenemalonate (II) at 125 C to give ethyl-alpha-carbethoxy-beta-(2-trifluoromethylanilino)acrylate (III), m.p. 94 C; this product is cyclized by refluxing with diphenyl ether affording 3-carbethoxy-4-hydroxy-8-trifluoromethylquinoline (IV), m.p. 216 C, which in turn, is hydrolyzed with refluxing aqueous NaOH to the corresponding acid (V), m.p. 290-2 C; this acid is decarboxylated by refluxing in diphenyl ether to 4-hydroxy-8-trifluoromethylquinoline (VI), m.p. 180 C; this product by refluxing with POCl3 is converted into chloro-8-trifluoromethylquinoline (VII), m.p. 78 C; the condensation of quinoline (VII) with methyl anthranilate (A) by means of aqueous 2N HCl affords 4-(2-methoxycarbonylphenylamino)-8-trifluoromethylquinoline (VIII), m.p. 176 C (1,2). The transesterification of methyl ester (VIII) with glycerol affords the final product. (1) 2) Transesterification of methylester (VIII) with 2,2-dimethyl-4-hydroxymethyl-1,3-dioxolane (B) to give the acetoneketal of floctafenine (IX), mp 108 C which is finally hydrolized with HCl. (2) 3) Condensation of the chloroquinoline (VII) with the 2,2-dimethyl-4-hydroxymethyl-2,3-dioxolane ester of anthranilic acid by means aqueous HCl to give the already obtained acetoneketal (IX), which is finally hydrolized as before. (2)

参考文献No.803950
标题:Floctafenine
作者:Casta馿r, J.; Arrigoni, Martelli, E.
来源:Drugs Fut 1976,1(2),59
合成路线图解说明:

1) Condensation of 2-trifluoromethylaniline (I) with ethyl ethoxymethylenemalonate (II) at 125 C to give ethyl-alpha-carbethoxy-beta-(2-trifluoromethylanilino)acrylate (III), m.p. 94 C; this product is cyclized by refluxing with diphenyl ether affording 3-carbethoxy-4-hydroxy-8-trifluoromethylquinoline (IV), m.p. 216 C, which in turn, is hydrolyzed with refluxing aqueous NaOH to the corresponding acid (V), m.p. 290-2 C; this acid is decarboxylated by refluxing in diphenyl ether to 4-hydroxy-8-trifluoromethylquinoline (VI), m.p. 180 C; this product by refluxing with POCl3 is converted into chloro-8-trifluoromethylquinoline (VII), m.p. 78 C; the condensation of quinoline (VII) with methyl anthranilate (A) by means of aqueous 2N HCl affords 4-(2-methoxycarbonylphenylamino)-8-trifluoromethylquinoline (VIII), m.p. 176 C (1,2). The transesterification of methyl ester (VIII) with glycerol affords the final product. (1) 2) Transesterification of methylester (VIII) with 2,2-dimethyl-4-hydroxymethyl-1,3-dioxolane (B) to give the acetoneketal of floctafenine (IX), mp 108 C which is finally hydrolized with HCl. (2) 3) Condensation of the chloroquinoline (VII) with the 2,2-dimethyl-4-hydroxymethyl-2,3-dioxolane ester of anthranilic acid by means aqueous HCl to give the already obtained acetoneketal (IX), which is finally hydrolized as before. (2)

参考文献No.900185
标题:
作者:(Roussel-Uclaf.)
来源:DE 1815467
合成路线图解说明:

1) Condensation of 2-trifluoromethylaniline (I) with ethyl ethoxymethylenemalonate (II) at 125 C to give ethyl-alpha-carbethoxy-beta-(2-trifluoromethylanilino)acrylate (III), m.p. 94 C; this product is cyclized by refluxing with diphenyl ether affording 3-carbethoxy-4-hydroxy-8-trifluoromethylquinoline (IV), m.p. 216 C, which in turn, is hydrolyzed with refluxing aqueous NaOH to the corresponding acid (V), m.p. 290-2 C; this acid is decarboxylated by refluxing in diphenyl ether to 4-hydroxy-8-trifluoromethylquinoline (VI), m.p. 180 C; this product by refluxing with POCl3 is converted into chloro-8-trifluoromethylquinoline (VII), m.p. 78 C; the condensation of quinoline (VII) with methyl anthranilate (A) by means of aqueous 2N HCl affords 4-(2-methoxycarbonylphenylamino)-8-trifluoromethylquinoline (VIII), m.p. 176 C (1,2). The transesterification of methyl ester (VIII) with glycerol affords the final product. (1) 2) Transesterification of methylester (VIII) with 2,2-dimethyl-4-hydroxymethyl-1,3-dioxolane (B) to give the acetoneketal of floctafenine (IX), mp 108 C which is finally hydrolized with HCl. (2) 3) Condensation of the chloroquinoline (VII) with the 2,2-dimethyl-4-hydroxymethyl-2,3-dioxolane ester of anthranilic acid by means aqueous HCl to give the already obtained acetoneketal (IX), which is finally hydrolized as before. (2)

Drug Information Express,Drug R&D,Chemical Database,Patent Search.
Copyright © 2006-2026 Drug Future. All rights reserved.Contact Us