【药物名称】Ibuproxam
化学结构式(Chemical Structure):
参考文献No.803945
标题:Ibuproxam
作者:Casta馿r, J.; Arrigoni, Martelli, E.
来源:Drugs Fut 1977,2(12),808
合成路线图解说明:

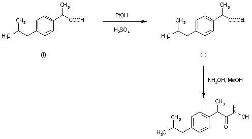
By esterification of 2-(p-isobutylphenyl)propionic acid (I) with ethanol and H2SO4 at reflux temperature yielding the corresponding ethyl ester (II), which is the treated with hydroxylamine in refluxing methanol

参考文献No.900179
标题:
作者:Orzalesi, G.; Selleri, R. (Manetti&Roberts)
来源:DE 2400531; FR 2213062
合成路线图解说明:

By esterification of 2-(p-isobutylphenyl)propionic acid (I) with ethanol and H2SO4 at reflux temperature yielding the corresponding ethyl ester (II), which is the treated with hydroxylamine in refluxing methanol

Drug Information Express,Drug R&D,Chemical Database,Patent Search.
Copyright © 2006-2026 Drug Future. All rights reserved.Contact Us