【药物名称】Cefazedone
化学结构式(Chemical Structure):
参考文献No.900291
标题:
作者:Gericke, R.; et al.
来源:DE 2345402
合成路线图解说明:

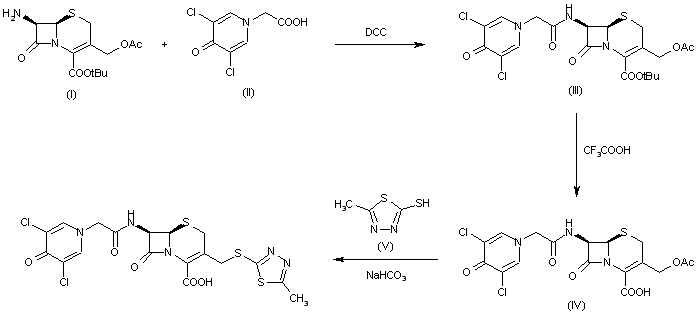
The reaction of 7-aminocephalosporanic acid tert-butyl ester (I) with 3,5-dichloro-4-pyridone-1-acetic acid (II) by means of dicyclohexylcarbodiimide in CH2Cl2 gives 7-(3,5-dichloro-1,4-dihydro-4-oxo-1-pyridylacetamido)cephalosporanic acid tert-butyl ester (III), which is hydrolyzed with trifluoroacetic acid yielding the corresponding free acid (IV). Finally this acid is condensed with 5-methyl-1,3,4-thiadiazol-2-thiol (V) by means of NaHCO3 in a hot mixture of water and acetone.

参考文献No.950032
标题:Cefazedone
作者:Casta馿r, J.; Prous, J.R.; Blancafort, P.
来源:Drugs Fut 1977,2(11),717
合成路线图解说明:

The reaction of 7-aminocephalosporanic acid tert-butyl ester (I) with 3,5-dichloro-4-pyridone-1-acetic acid (II) by means of dicyclohexylcarbodiimide in CH2Cl2 gives 7-(3,5-dichloro-1,4-dihydro-4-oxo-1-pyridylacetamido)cephalosporanic acid tert-butyl ester (III), which is hydrolyzed with trifluoroacetic acid yielding the corresponding free acid (IV). Finally this acid is condensed with 5-methyl-1,3,4-thiadiazol-2-thiol (V) by means of NaHCO3 in a hot mixture of water and acetone.

Drug Information Express,Drug R&D,Chemical Database,Patent Search.
Copyright © 2006-2026 Drug Future. All rights reserved.Contact Us