【药物名称】Tripropidil hydrochloride, MJ-12,880-1
化学结构式(Chemical Structure):
参考文献No.900300
标题:
作者:Morrow, D.F.; Matier, W.L.
来源:BE 871143; DE 2844353; FR 2405932; GB 2006197; JP 7988232; NL 7810156; ZA 7805689
合成路线图解说明:

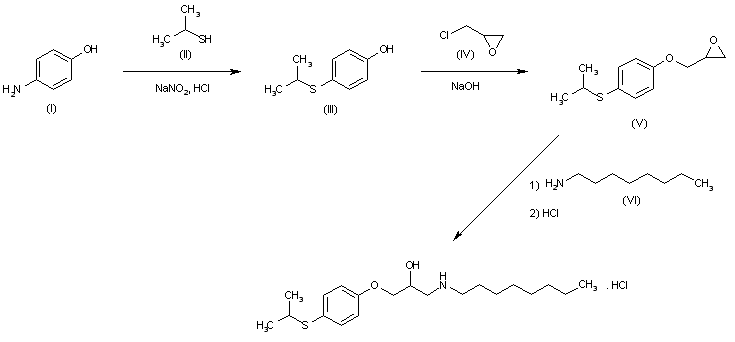
The diazotation of 4-aminophenol (I) with NaNO2 and HCl followed by reaction with isopropylmercaptane (II) gives 4-(isopropylthio)phenol (III), which is condensed with epichlorohydrin (IV) by means of NaOH in water to yield 3-[4-(isopropylthio)phenoxy]-1,2-epoxypropane (V). Finally this compound is condensed with n-octylamine (VI) in refluxing ethanol and treated with HCl.

参考文献No.950047
标题:Tipropidil Hydrochloride
作者:Blancafort, P.; Serradell, M.N.; Casta馿r, J.; Thorpe, P.J.
来源:Drugs Fut 1982,7(4),277
合成路线图解说明:

The diazotation of 4-aminophenol (I) with NaNO2 and HCl followed by reaction with isopropylmercaptane (II) gives 4-(isopropylthio)phenol (III), which is condensed with epichlorohydrin (IV) by means of NaOH in water to yield 3-[4-(isopropylthio)phenoxy]-1,2-epoxypropane (V). Finally this compound is condensed with n-octylamine (VI) in refluxing ethanol and treated with HCl.

Drug Information Express,Drug R&D,Chemical Database,Patent Search.
Copyright © 2006-2026 Drug Future. All rights reserved.Contact Us