【药物名称】Fenoctimine sulfate
化学结构式(Chemical Structure):
参考文献No.900299
标题:
作者:Scott, M.; Rasmussen, C.
来源:BE 875164; DE 2912026; FR 2421169; GB 2017689; JP 79132580
合成路线图解说明:

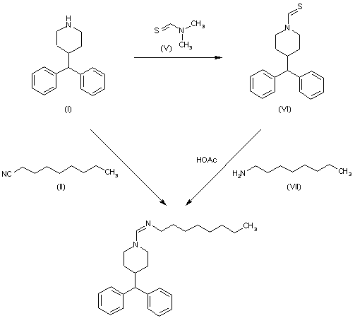
This compound can be prepared by several different ways: 1) By condensation of 4-(diphenylmethyl)piperidine (I) with octyl isocyanide (II) in toluene. 2) The reaction of 4-(diphenylmethyl)piperidine (I) with N,N-dimethylthioformamide (V) in refluxing toluene gives 4-diphenylmethyl-1-piperidinecarbothioaldehyde (VI), which is then condensed with octylamine (VII) by means of acetic acid in hot toluene.

合成路线图解说明:

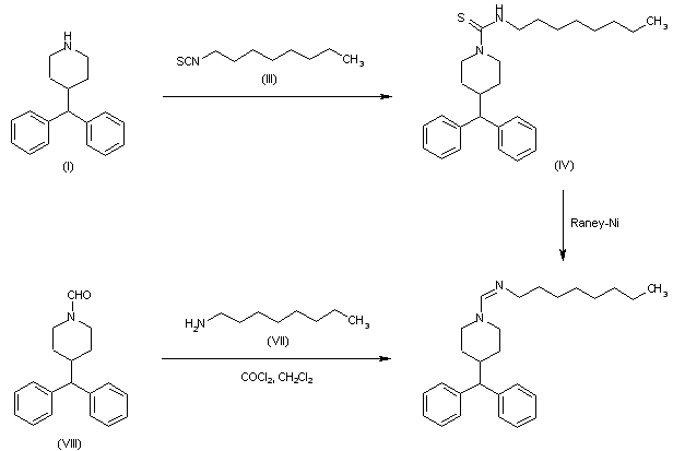
3) The reaction of 4-(diphenylmethyl)piperidine (I) with octyl isothiocyanate (III) in toluene gives 4-diphenylmethyl-N-octyl-1-piperidinecarbothioamide (IV), which is then treated with Raney-Ni in refluxing isopropanol. 4) By condensation of 4-diphenylmethyl-1-piperidinecarbaldehyde (VIII) with octylamine (VII) by means of phosgene in methylene chloride.

参考文献No.950045
标题:Fenoctimine Sulfate
作者:Blancafort, P.; Serradell, M.N.; Casta馿r, J.; Thorpe, P.
来源:Drugs Fut 1983,8(11),917
合成路线图解说明:

This compound can be prepared by several different ways: 1) By condensation of 4-(diphenylmethyl)piperidine (I) with octyl isocyanide (II) in toluene. 2) The reaction of 4-(diphenylmethyl)piperidine (I) with N,N-dimethylthioformamide (V) in refluxing toluene gives 4-diphenylmethyl-1-piperidinecarbothioaldehyde (VI), which is then condensed with octylamine (VII) by means of acetic acid in hot toluene.

合成路线图解说明:

3) The reaction of 4-(diphenylmethyl)piperidine (I) with octyl isothiocyanate (III) in toluene gives 4-diphenylmethyl-N-octyl-1-piperidinecarbothioamide (IV), which is then treated with Raney-Ni in refluxing isopropanol. 4) By condensation of 4-diphenylmethyl-1-piperidinecarbaldehyde (VIII) with octylamine (VII) by means of phosgene in methylene chloride.

Drug Information Express,Drug R&D,Chemical Database,Patent Search.
Copyright © 2006-2026 Drug Future. All rights reserved.Contact Us