【药物名称】Dabigatran etexilate, BIBR-1048MS, BIBR-1048
化学结构式(Chemical Structure):
参考文献No.37203
标题:Disubstd. bicyclic heterocycles, their production and use as medicaments
作者:Hauel, N.; Wienen, W.; Ries, U.; Priepke, H.; Stassen, J.M. (Boehringer Ingelheim Pharma KG)
来源:DE 19706229; DE 19751939; EP 0966454; JP 2001509815; US 2003004181; US 6087380; US 6469039; WO 9837075
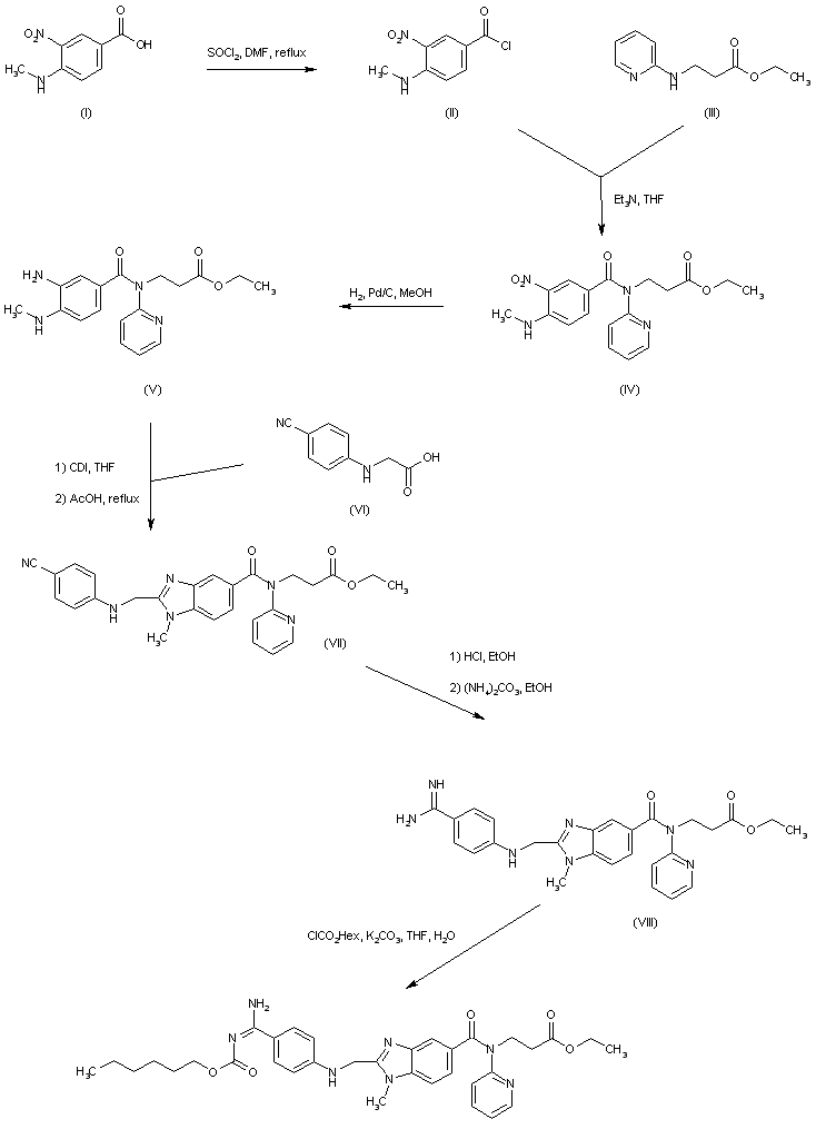
合成路线图解说明:

4-Methylamino-3-nitrobenzoic acid (I) is converted into acid chloride (II) by using SOCl2, and subsequently condensed with ethyl 3-(2-pyridylamino)propionate (III) to produce amide (IV). Reduction of the nitro group of (IV) by catalytic hydrogenation yields the phenylenediamine (V). After acylation of diamine (V) with N-(4-cyanophenyl)glycine (VI), cyclization of the resulting amino amide in refluxing AcOH leads to benzimidazole (VII). The cyano group of (VII) is then transformed into amidine (VIII) employing the Pinner reaction. Finally, acylation of the amidino group of (VIII) with hexyl chloroformate gives rise to the target amidine carbamate derivative

参考文献No.664981
标题:Structure-based design of novel potent nonpeptide thrombin inhibitors
作者:Hauel, N.H.; Nar, H.; Priepke, H.; Ries, U.J.; Stassen, J.M.; Wienen, W.
来源:J Med Chem 2002,45(9),1757
合成路线图解说明:

4-Methylamino-3-nitrobenzoic acid (I) is converted into acid chloride (II) by using SOCl2, and subsequently condensed with ethyl 3-(2-pyridylamino)propionate (III) to produce amide (IV). Reduction of the nitro group of (IV) by catalytic hydrogenation yields the phenylenediamine (V). After acylation of diamine (V) with N-(4-cyanophenyl)glycine (VI), cyclization of the resulting amino amide in refluxing AcOH leads to benzimidazole (VII). The cyano group of (VII) is then transformed into amidine (VIII) employing the Pinner reaction. Finally, acylation of the amidino group of (VIII) with hexyl chloroformate gives rise to the target amidine carbamate derivative

Drug Information Express,Drug R&D,Chemical Database,Patent Search.
Copyright © 2006-2026 Drug Future. All rights reserved.Contact Us