【药物名称】
化学结构式(Chemical Structure):
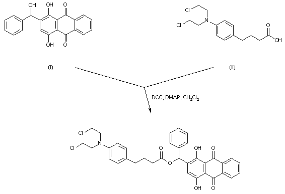
参考文献No.626945
标题:Esters of chlorambucil with 2-substituted 1,4-dihydroxy-9,10-anthraquinones as multifunctional anticancer agents
作者:Jin, G.-Z.; You, Y.J.; Kim, Y.; Nam, N.H.; Ahn, B.Z.
来源:Eur J Med Chem 2001,36(4),361
合成路线图解说明:

The title ester was synthesized by condensation of 1,4-dihydroxy-2-(hydroxyphenylmethyl)anthraquinone (I) with chlorambucil (II) in the presence of DCC and DMAP.

Drug Information Express,Drug R&D,Chemical Database,Patent Search.
Copyright © 2006-2026 Drug Future. All rights reserved.Contact Us