【药物名称】Arginine pyroglutamate
化学结构式(Chemical Structure):
参考文献No.
950015
标题:
Chemistry and pharmacology of argine-pyroglutamate
作者:
Provenzano, P.M.; et al.
来源:
Arzneim-Forsch Drug Res 1977,27(8),1553
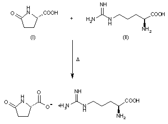
合成路线图解说明:
By vacuum evaporation of a refluxed solution of pyroglutamic acid (II) and arginine (I).
参考文献No.
950016
标题:
Argine pyroglutamate
作者:
Casta馿r, J.; de Angelis, L.
来源:
Drugs Fut 1978,3(1),10
合成路线图解说明:
By vacuum evaporation of a refluxed solution of pyroglutamic acid (II) and arginine (I).
Drug Information Express,Drug R&D,Chemical Database,Patent Search.
Copyright © 2006-2026
Drug Future
. All rights reserved.
Contact Us