【药物名称】Indanazoline hydrochloride, Farial
化学结构式(Chemical Structure):
参考文献No.700551
标题:Indanazoline Hydrochloride
作者:Unterhalt, B.
来源:Drugs Fut 1981,6(7),417
合成路线图解说明:

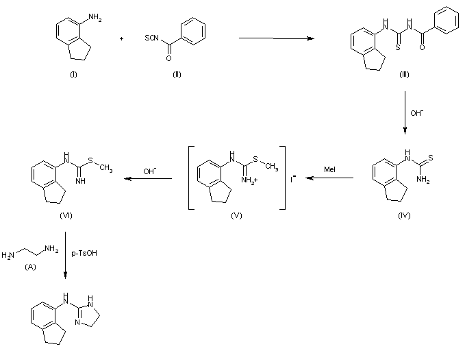
4-Amiomoindan (I) is reacted with benzoylisothiocyanate (II) to give the benzoylthiourea (III), which after hydrolysis of 4-indanyltiourea (IV) is methylated with iodomethane to (V). The free base (VI) is cyclized with ethyldiamine (A) and p-toluenesulfonic acid to indanazoline

合成路线图解说明:

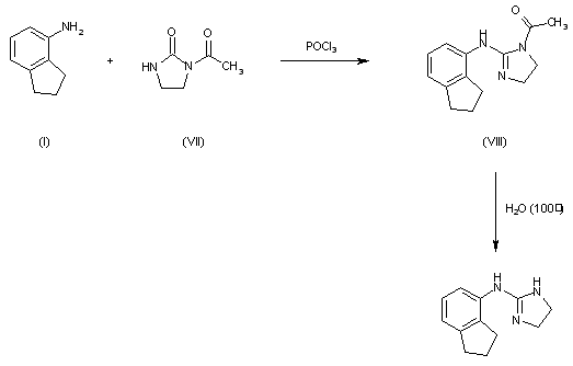
By reacting 1-acetyl-2-imidazolidinone (VII) with 4-aminoindan (I) and POCl3 at 50 C 1-acetylindanazolidine (VIII) is synthesized, which gives indanazoline by hydrolysis

参考文献No.803940
标题:BRCA mutations and risk of prostate cancer in ashkenazi jews
作者:Kirchhoff, T.; Kauff, N.D.; Mitra, N.; et al.
来源:Arzneim-Forsch Drug Res 1980,30(9),1733
合成路线图解说明:

4-Amiomoindan (I) is reacted with benzoylisothiocyanate (II) to give the benzoylthiourea (III), which after hydrolysis of 4-indanyltiourea (IV) is methylated with iodomethane to (V). The free base (VI) is cyclized with ethyldiamine (A) and p-toluenesulfonic acid to indanazoline

合成路线图解说明:

By reacting 1-acetyl-2-imidazolidinone (VII) with 4-aminoindan (I) and POCl3 at 50 C 1-acetylindanazolidine (VIII) is synthesized, which gives indanazoline by hydrolysis

参考文献No.900169
标题:
作者:May, H. J.; Berg, A. (Nordmark-Werke GmbH)
来源:BE 786499; CA 967162; DE 2136325; FR 2146430; GB 1346037; JP 7319575; JP 7918260; NL 7209138; SA 7204747; SU 571502; US 3882229
合成路线图解说明:

4-Amiomoindan (I) is reacted with benzoylisothiocyanate (II) to give the benzoylthiourea (III), which after hydrolysis of 4-indanyltiourea (IV) is methylated with iodomethane to (V). The free base (VI) is cyclized with ethyldiamine (A) and p-toluenesulfonic acid to indanazoline

参考文献No.900170
标题:
作者:May, H.J.; Koening, H. (BASF AG)
来源:DE 2652004; FR 2370736; NL 7712149
合成路线图解说明:

By reacting 1-acetyl-2-imidazolidinone (VII) with 4-aminoindan (I) and POCl3 at 50 C 1-acetylindanazolidine (VIII) is synthesized, which gives indanazoline by hydrolysis

Drug Information Express,Drug R&D,Chemical Database,Patent Search.
Copyright © 2006-2026 Drug Future. All rights reserved.Contact Us