【药物名称】Aminoprofen, AU-7801
化学结构式(Chemical Structure):
参考文献No.803942
标题:Aminoprofen
作者:McKenney, D.; et al.
来源:Drugs Fut 1981,6(10),599
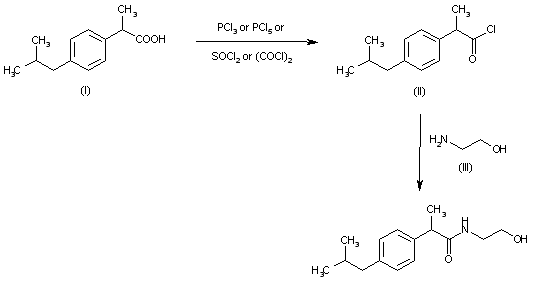
合成路线图解说明:

Formation in anhydrous medium of the acyl halide (II) of dl-2-(4?isobutylphenyl)propionic acid (I) with phosphorous or sulfur halides or oxyhalides, and the subsequent reaction in anhydrous medium with beta-hydroxyethylamine (III) to give N-(beta-hydroxyethyl)-dl-2-(4?isobutylphenyl)propionamide.

Drug Information Express,Drug R&D,Chemical Database,Patent Search.
Copyright © 2006-2026 Drug Future. All rights reserved.Contact Us