【药物名称】Diflorasone, Psorcon, Maxiflor, Florone
化学结构式(Chemical Structure):
参考文献No.900286
标题:
作者:Lincoln, F.H.; et al.
来源:US 3557158
合成路线图解说明:

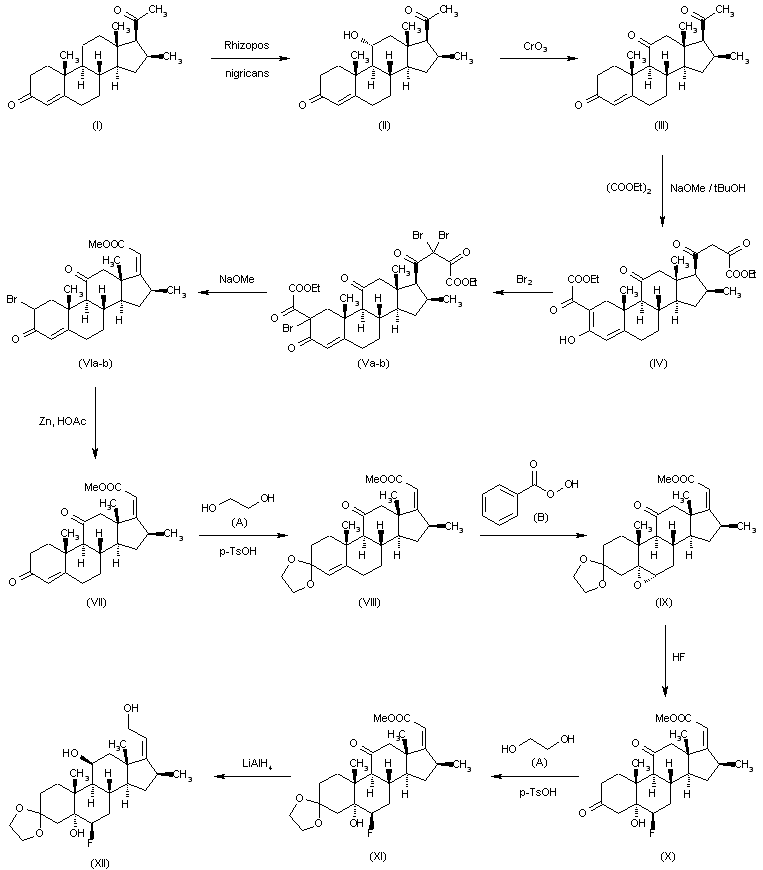
The 16beta-methyl progesterone (I) is incubated with Rhizopos nigricans minus strain Am. type Cult. Coll. no. 62227b giving the crude hydroxy derivative (II), which is oxidixed with CrO3 to 16beta-methyl-11-oxoprogesterone (III). The treatment of (III) with diethyl oxalate and sodium methoxide in tert-butyl alcohol yields the diethoxyallyl derivative (IV), which by treatment with Br2 in methanol affords the tribromocompound (Va-b). The treatment of (Va-b) with sodium methoxide in methanol yields 2-bromo-3,11-dioxo-16beta-methyl-4,17(20)-cis-preganadien-21-oic acid methyl ester (VIa-b), which is debrominated with Zn in acetic acid giving the methyl ester (VII). The treatment of (VII) with ethylene glycol (A) and p-toluenesulfonic acid affords the ketal (VIII), which is epoxidated with perbenzoic acid (B) in CHCl3 yielding the epoxide (IX). The epoxide ring of (IX) is opened with HF in CH2Cl2 giving the hydroxyfluoro compound (X), which is ketalized again as before yielding (XI). This product is reduced with LiAlH4 in ether giving the 3-ethylene ketal of 5alpha,11beta,21-trihydroxy-6beta-fluoro-16beta-methyl-17(20)-cis-allopregnene-3-one (XII)

合成路线图解说明:

Compound (XII) is acetylated with acetic anhydride in pyridine affording the acetate (XIII). The double bond of (XIII) is oxidized with OsO4 in tert-butyl alcohol giving the pregnane (XIV), which is isomerized and hydrolyzed with HCl in alcohol affording 21-acetoxy-6alpha-fluoro-11beta,17alpha-dihydroxy-16beta-methylpregn-4-ene-3,20-dione (XV). The fermetation of (XV) with Septomixa affinis produces 6alpha-fluoro-11beta,17alpha,21-trihydroxy-16beta-methylpregna-1,4-diene-3,20-dione (XVI), which is acetylated as before giving the acetoxy compound (XVII). This product is dehydrated with NBA and SO2 in pyridine giving the pregnatriene compound (XVIII), which is treated with HClO4 and NBA in tert-butyl alcohol yielding the bromopregnadiene (XIX). The dehydrobromination of (XIX) with potassium acetate in acetone yields the epoxide (XX), which by treatment with HF is converted into 6alpha,9alpha-difluoro-21-acetoxy-11beta,17alpha-dihydroxy-16beta-methylpregna-1,4-diene-3,20-dione (XXI), which is finally deacetylated with KHCO3 in water.

参考文献No.900287
标题:
作者:
来源:GB 898293
合成路线图解说明:

The 16beta-methyl progesterone (I) is incubated with Rhizopos nigricans minus strain Am. type Cult. Coll. no. 62227b giving the crude hydroxy derivative (II), which is oxidixed with CrO3 to 16beta-methyl-11-oxoprogesterone (III). The treatment of (III) with diethyl oxalate and sodium methoxide in tert-butyl alcohol yields the diethoxyallyl derivative (IV), which by treatment with Br2 in methanol affords the tribromocompound (Va-b). The treatment of (Va-b) with sodium methoxide in methanol yields 2-bromo-3,11-dioxo-16beta-methyl-4,17(20)-cis-preganadien-21-oic acid methyl ester (VIa-b), which is debrominated with Zn in acetic acid giving the methyl ester (VII). The treatment of (VII) with ethylene glycol (A) and p-toluenesulfonic acid affords the ketal (VIII), which is epoxidated with perbenzoic acid (B) in CHCl3 yielding the epoxide (IX). The epoxide ring of (IX) is opened with HF in CH2Cl2 giving the hydroxyfluoro compound (X), which is ketalized again as before yielding (XI). This product is reduced with LiAlH4 in ether giving the 3-ethylene ketal of 5alpha,11beta,21-trihydroxy-6beta-fluoro-16beta-methyl-17(20)-cis-allopregnene-3-one (XII)

合成路线图解说明:

Compound (XII) is acetylated with acetic anhydride in pyridine affording the acetate (XIII). The double bond of (XIII) is oxidized with OsO4 in tert-butyl alcohol giving the pregnane (XIV), which is isomerized and hydrolyzed with HCl in alcohol affording 21-acetoxy-6alpha-fluoro-11beta,17alpha-dihydroxy-16beta-methylpregn-4-ene-3,20-dione (XV). The fermetation of (XV) with Septomixa affinis produces 6alpha-fluoro-11beta,17alpha,21-trihydroxy-16beta-methylpregna-1,4-diene-3,20-dione (XVI), which is acetylated as before giving the acetoxy compound (XVII). This product is dehydrated with NBA and SO2 in pyridine giving the pregnatriene compound (XVIII), which is treated with HClO4 and NBA in tert-butyl alcohol yielding the bromopregnadiene (XIX). The dehydrobromination of (XIX) with potassium acetate in acetone yields the epoxide (XX), which by treatment with HF is converted into 6alpha,9alpha-difluoro-21-acetoxy-11beta,17alpha-dihydroxy-16beta-methylpregna-1,4-diene-3,20-dione (XXI), which is finally deacetylated with KHCO3 in water.

参考文献No.950030
标题:Diflorasone
作者:Casta馿r, J.; Hilpert, K.
来源:Drugs Fut 1977,2(4),238
合成路线图解说明:

The 16beta-methyl progesterone (I) is incubated with Rhizopos nigricans minus strain Am. type Cult. Coll. no. 62227b giving the crude hydroxy derivative (II), which is oxidixed with CrO3 to 16beta-methyl-11-oxoprogesterone (III). The treatment of (III) with diethyl oxalate and sodium methoxide in tert-butyl alcohol yields the diethoxyallyl derivative (IV), which by treatment with Br2 in methanol affords the tribromocompound (Va-b). The treatment of (Va-b) with sodium methoxide in methanol yields 2-bromo-3,11-dioxo-16beta-methyl-4,17(20)-cis-preganadien-21-oic acid methyl ester (VIa-b), which is debrominated with Zn in acetic acid giving the methyl ester (VII). The treatment of (VII) with ethylene glycol (A) and p-toluenesulfonic acid affords the ketal (VIII), which is epoxidated with perbenzoic acid (B) in CHCl3 yielding the epoxide (IX). The epoxide ring of (IX) is opened with HF in CH2Cl2 giving the hydroxyfluoro compound (X), which is ketalized again as before yielding (XI). This product is reduced with LiAlH4 in ether giving the 3-ethylene ketal of 5alpha,11beta,21-trihydroxy-6beta-fluoro-16beta-methyl-17(20)-cis-allopregnene-3-one (XII)

合成路线图解说明:

Compound (XII) is acetylated with acetic anhydride in pyridine affording the acetate (XIII). The double bond of (XIII) is oxidized with OsO4 in tert-butyl alcohol giving the pregnane (XIV), which is isomerized and hydrolyzed with HCl in alcohol affording 21-acetoxy-6alpha-fluoro-11beta,17alpha-dihydroxy-16beta-methylpregn-4-ene-3,20-dione (XV). The fermetation of (XV) with Septomixa affinis produces 6alpha-fluoro-11beta,17alpha,21-trihydroxy-16beta-methylpregna-1,4-diene-3,20-dione (XVI), which is acetylated as before giving the acetoxy compound (XVII). This product is dehydrated with NBA and SO2 in pyridine giving the pregnatriene compound (XVIII), which is treated with HClO4 and NBA in tert-butyl alcohol yielding the bromopregnadiene (XIX). The dehydrobromination of (XIX) with potassium acetate in acetone yields the epoxide (XX), which by treatment with HF is converted into 6alpha,9alpha-difluoro-21-acetoxy-11beta,17alpha-dihydroxy-16beta-methylpregna-1,4-diene-3,20-dione (XXI), which is finally deacetylated with KHCO3 in water.

Drug Information Express,Drug R&D,Chemical Database,Patent Search.
Copyright © 2006-2026 Drug Future. All rights reserved.Contact Us