【药物名称】Parsalmide
化学结构式(Chemical Structure):
参考文献No.950027
标题:Pr閜aration et activit?th閞apeutique de quelques alcoxy-2-acetamino-5-benzamines
作者:Pedrazzoli, A.; et al.
来源:Chim Ther 1968,3200-209
合成路线图解说明:

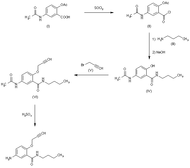
The reaction of 5-acetamino-O-acetylsalicylic acid (I) with SOCl2 gives the corresponding acyl chloride (II) which is condensed with N-butylamine (III) and hydrolyzed with NaOH yielding 5-acetamino-N-butylsalicylamide (IV). The condensation of (IV) with propargyl bromide (V) by means of sodium isopropylate in refluxing isopropanol affords 2-propargyloxy-5-acetamino-N-butylbenzamide (VI) (1), which is finally hydrolyzed with hot 4N H2SO4 (2).

参考文献No.950028
标题:Sintesi ed attivit?farmacologiche preliminari di una serie di 2-alchilossi-5-amino-alchil-benz-amidi
作者:Pedrazzoli, A.; et al.
来源:Boll Chim Farm 1976,115(2a),125-134
合成路线图解说明:

The reaction of 5-acetamino-O-acetylsalicylic acid (I) with SOCl2 gives the corresponding acyl chloride (II) which is condensed with N-butylamine (III) and hydrolyzed with NaOH yielding 5-acetamino-N-butylsalicylamide (IV). The condensation of (IV) with propargyl bromide (V) by means of sodium isopropylate in refluxing isopropanol affords 2-propargyloxy-5-acetamino-N-butylbenzamide (VI) (1), which is finally hydrolyzed with hot 4N H2SO4 (2).

参考文献No.950029
标题:Parasalmide
作者:Casta馿r, J.; De Angelis, L.
来源:Drugs Fut 1977,2(1),55
合成路线图解说明:

The reaction of 5-acetamino-O-acetylsalicylic acid (I) with SOCl2 gives the corresponding acyl chloride (II) which is condensed with N-butylamine (III) and hydrolyzed with NaOH yielding 5-acetamino-N-butylsalicylamide (IV). The condensation of (IV) with propargyl bromide (V) by means of sodium isopropylate in refluxing isopropanol affords 2-propargyloxy-5-acetamino-N-butylbenzamide (VI) (1), which is finally hydrolyzed with hot 4N H2SO4 (2).

Drug Information Express,Drug R&D,Chemical Database,Patent Search.
Copyright © 2006-2026 Drug Future. All rights reserved.Contact Us