【药物名称】Chloprednol, RS-4691, Cloadryn
化学结构式(Chemical Structure):
参考文献No.900285
标题:
作者:Ringold, H.J.; Rosenkranz, G.
来源:FR 1271981; GB 890835; US 3232965
合成路线图解说明:

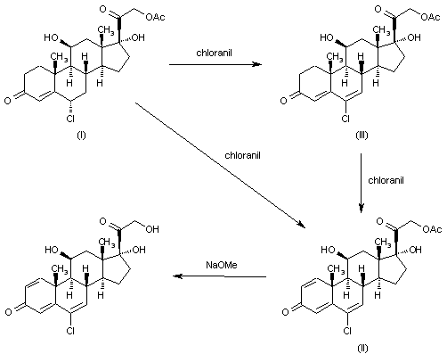
It can be prepared in two different ways both starting from 21-acetoxy-6alpha-chlorohydrocortisone (I): 1) Dehydrogenation of (I) with chloranil in refluxing n-amyl alcohol to give 21-acetate of Cloprednol (II), which is hydrolyzed with sodium methoxide in methanol. 2) Dehydrogenation of (I) with chloranil in refluxing xylene to give 21-acetoxy-11beta,17alpha-dihydroxy-pregna-4,6-diene-3,20-dione (III), which is dehydrogenated again with chloranil in refluxing n-amyl alcohol to the acetate (II), and finally hydrolyzed as before.

参考文献No.950026
标题:Cloprednol
作者:Casta馿r, J.; Ryan, M.P.
来源:Drugs Fut 1977,2(1),18
合成路线图解说明:

It can be prepared in two different ways both starting from 21-acetoxy-6alpha-chlorohydrocortisone (I): 1) Dehydrogenation of (I) with chloranil in refluxing n-amyl alcohol to give 21-acetate of Cloprednol (II), which is hydrolyzed with sodium methoxide in methanol. 2) Dehydrogenation of (I) with chloranil in refluxing xylene to give 21-acetoxy-11beta,17alpha-dihydroxy-pregna-4,6-diene-3,20-dione (III), which is dehydrogenated again with chloranil in refluxing n-amyl alcohol to the acetate (II), and finally hydrolyzed as before.

Drug Information Express,Drug R&D,Chemical Database,Patent Search.
Copyright © 2006-2026 Drug Future. All rights reserved.Contact Us