【药物名称】Bucumolol
化学结构式(Chemical Structure):
参考文献No.900282
标题:
作者:Sato, Y.; et al.
来源:US 3663570
合成路线图解说明:

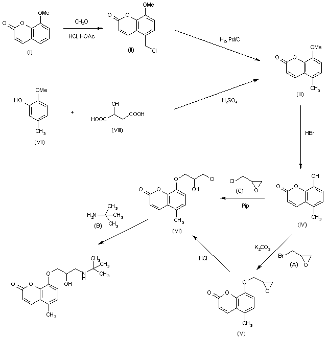
It can be prepared in three different, but related ways: 1) The chloromethylation of 8-methoxycoumarin (I) with formaldehyde and HCl in refluxing acetic acid gives 5-chloromethyl-8-methoxycoumarin (II), which is reduced with H2 over Pd/C in DMF yielding 5-methyl-8-methoxycoumarin (III). The hydrolysis of (III) with refluxing 48% aqueous HBr affords 5-methyl-8-hydroxycoumarin (IV), which is condensed with epibromohydrin (A) by means of K2CO3 in refluxing butanone giving 5-methyl-8-(2,3-epoxypropoxy)coumarin (V). The epoxy ring of (V) is opened with HCl in butanone affording 5-methyl-8-(2-hydroxy-3-chloropropoxy)coumarin (VI) (1), which is finally condensed with tert-butylamine (B) in refluxing ethanol (1-3). 2) The cyclization of 5-methylguaiacol (VII) with malic acid (VIII) by means of H2SO4 at 100-5 C gives coumarin (III) already obtained (1). 3) The condensation of (IV) with epichlorohydrin (C) by means of piperidine at 100 C gives coumarin (VI) already obtained (1).

参考文献No.900283
标题:
作者:
来源:DE 2021958; FR 2042378; GB 1263204; JP 7240051
合成路线图解说明:

It can be prepared in three different, but related ways: 1) The chloromethylation of 8-methoxycoumarin (I) with formaldehyde and HCl in refluxing acetic acid gives 5-chloromethyl-8-methoxycoumarin (II), which is reduced with H2 over Pd/C in DMF yielding 5-methyl-8-methoxycoumarin (III). The hydrolysis of (III) with refluxing 48% aqueous HBr affords 5-methyl-8-hydroxycoumarin (IV), which is condensed with epibromohydrin (A) by means of K2CO3 in refluxing butanone giving 5-methyl-8-(2,3-epoxypropoxy)coumarin (V). The epoxy ring of (V) is opened with HCl in butanone affording 5-methyl-8-(2-hydroxy-3-chloropropoxy)coumarin (VI) (1), which is finally condensed with tert-butylamine (B) in refluxing ethanol (1-3). 2) The cyclization of 5-methylguaiacol (VII) with malic acid (VIII) by means of H2SO4 at 100-5 C gives coumarin (III) already obtained (1). 3) The condensation of (IV) with epichlorohydrin (C) by means of piperidine at 100 C gives coumarin (VI) already obtained (1).

参考文献No.950022
标题:Studies on new B-adrenergic blocking agents.I. Syntheses and pharmacology of coumarin derivatives
作者:Sato, Y.; et al.
来源:Chem Pharm Bull 1972,20(5),905-917
合成路线图解说明:

It can be prepared in three different, but related ways: 1) The chloromethylation of 8-methoxycoumarin (I) with formaldehyde and HCl in refluxing acetic acid gives 5-chloromethyl-8-methoxycoumarin (II), which is reduced with H2 over Pd/C in DMF yielding 5-methyl-8-methoxycoumarin (III). The hydrolysis of (III) with refluxing 48% aqueous HBr affords 5-methyl-8-hydroxycoumarin (IV), which is condensed with epibromohydrin (A) by means of K2CO3 in refluxing butanone giving 5-methyl-8-(2,3-epoxypropoxy)coumarin (V). The epoxy ring of (V) is opened with HCl in butanone affording 5-methyl-8-(2-hydroxy-3-chloropropoxy)coumarin (VI) (1), which is finally condensed with tert-butylamine (B) in refluxing ethanol (1-3). 2) The cyclization of 5-methylguaiacol (VII) with malic acid (VIII) by means of H2SO4 at 100-5 C gives coumarin (III) already obtained (1). 3) The condensation of (IV) with epichlorohydrin (C) by means of piperidine at 100 C gives coumarin (VI) already obtained (1).

参考文献No.950023
标题:Bucumolol
作者:Casta馿r, J.; Weetman, D.F.
来源:Drugs Fut 1978,3(9),638
合成路线图解说明:

It can be prepared in three different, but related ways: 1) The chloromethylation of 8-methoxycoumarin (I) with formaldehyde and HCl in refluxing acetic acid gives 5-chloromethyl-8-methoxycoumarin (II), which is reduced with H2 over Pd/C in DMF yielding 5-methyl-8-methoxycoumarin (III). The hydrolysis of (III) with refluxing 48% aqueous HBr affords 5-methyl-8-hydroxycoumarin (IV), which is condensed with epibromohydrin (A) by means of K2CO3 in refluxing butanone giving 5-methyl-8-(2,3-epoxypropoxy)coumarin (V). The epoxy ring of (V) is opened with HCl in butanone affording 5-methyl-8-(2-hydroxy-3-chloropropoxy)coumarin (VI) (1), which is finally condensed with tert-butylamine (B) in refluxing ethanol (1-3). 2) The cyclization of 5-methylguaiacol (VII) with malic acid (VIII) by means of H2SO4 at 100-5 C gives coumarin (III) already obtained (1). 3) The condensation of (IV) with epichlorohydrin (C) by means of piperidine at 100 C gives coumarin (VI) already obtained (1).

Drug Information Express,Drug R&D,Chemical Database,Patent Search.
Copyright © 2006-2026 Drug Future. All rights reserved.Contact Us