【药物名称】Promegestone
化学结构式(Chemical Structure):
参考文献No.900279
标题:
作者:Pierdet, A.
来源:FR 2149302
合成路线图解说明:

It can be prepared in two different ways: 1) The ketalization of 17alpha-methyl-19-norpregna-4,9-diene-3,20-dione (I) with ethyleneglycol (A), ethyl orthoformate and p-toluenesulfonic acid gives the 3,3-ethylenedioxy ketal (II), which is methylated with potassium tert-butylate and methyl iodide in toluene yielding 3,3-ethylenedioxy-17alpha,21-dimethyl-19-norpregna-5(10),9(11)-diene-20-one (III). Finally this compound is hydrolyzed by treating with an ion-exchange resin (REDEX CF) in refluxing ethanol.

参考文献No.900280
标题:
作者:Warnant, J.; Farcilli, A.
来源:DE 2107835; FR 2077877; GB 1291205; US 3679714; US 3761591; ZA 7100563
合成路线图解说明:

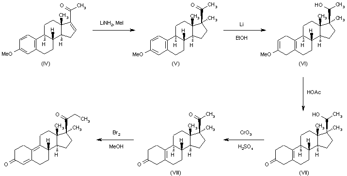
2) The methylation of 3-methoxy-19-norpregna-1,3,5(10),16-tetraene-20-one (IV) with LiNH2 and methyl iodide in liquid NH3 gives 3-methoxy-17alpha-methyl-19-norpregna-1,3,5(10)-triene-20-one (V), which is reduced with Li in ethanol - NH3 affording the 2,5(10)-diene compound (VI). The hydrolysis of (VI) with acetic acid in acetone - water yields 17alpha-methyl-19-nor-5(10)-pregnene-20-ol-3-one (VII), which is oxidized with CrO3 and H2SO4 in acetone giving 17alpha-methyl-19-nor-5(10)-pregnene-3,20-dione (VIII). Finally this compound is treated with Br2 and MeOH in pyridine.

参考文献No.950020
标题:Promegestone
作者:Casta馿r, J.; Roberts, P.J.
来源:Drugs Fut 1978,3(6),469
合成路线图解说明:

It can be prepared in two different ways: 1) The ketalization of 17alpha-methyl-19-norpregna-4,9-diene-3,20-dione (I) with ethyleneglycol (A), ethyl orthoformate and p-toluenesulfonic acid gives the 3,3-ethylenedioxy ketal (II), which is methylated with potassium tert-butylate and methyl iodide in toluene yielding 3,3-ethylenedioxy-17alpha,21-dimethyl-19-norpregna-5(10),9(11)-diene-20-one (III). Finally this compound is hydrolyzed by treating with an ion-exchange resin (REDEX CF) in refluxing ethanol.

合成路线图解说明:

2) The methylation of 3-methoxy-19-norpregna-1,3,5(10),16-tetraene-20-one (IV) with LiNH2 and methyl iodide in liquid NH3 gives 3-methoxy-17alpha-methyl-19-norpregna-1,3,5(10)-triene-20-one (V), which is reduced with Li in ethanol - NH3 affording the 2,5(10)-diene compound (VI). The hydrolysis of (VI) with acetic acid in acetone - water yields 17alpha-methyl-19-nor-5(10)-pregnene-20-ol-3-one (VII), which is oxidized with CrO3 and H2SO4 in acetone giving 17alpha-methyl-19-nor-5(10)-pregnene-3,20-dione (VIII). Finally this compound is treated with Br2 and MeOH in pyridine.

Drug Information Express,Drug R&D,Chemical Database,Patent Search.
Copyright © 2006-2026 Drug Future. All rights reserved.Contact Us