【药物名称】Etozolin, W-2900A
化学结构式(Chemical Structure):
参考文献No.900276
标题:
作者:Satzinger, G.
来源:DE 1160441; FR M2728; GB 1022047; GB 1022048; US 3072653
合成路线图解说明:

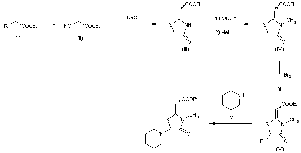
The cyclization of a mixture of ethyl mercaptoacetate (I) and ethyl cyanacetate (II) by means of sodium ethoxide in ethanol gives ethyl 4-oxo-2-thiazolidinylideneacetate (III), which is methylated with sodium methoxide and methyl iodide yielding the N-methyl analog (IV). Bromination of (IV) with Br2 in chloroform affords the 5-bromo derivative (V), which is finally treated with piperidine (VI) in benzene.

参考文献No.950017
标题:Substituted 2-methylene-4-thiazolidones
作者:Satzinger, G.
来源:Ann 1963,665150-65
合成路线图解说明:

The cyclization of a mixture of ethyl mercaptoacetate (I) and ethyl cyanacetate (II) by means of sodium ethoxide in ethanol gives ethyl 4-oxo-2-thiazolidinylideneacetate (III), which is methylated with sodium methoxide and methyl iodide yielding the N-methyl analog (IV). Bromination of (IV) with Br2 in chloroform affords the 5-bromo derivative (V), which is finally treated with piperidine (VI) in benzene.

参考文献No.950018
标题:Etozolin
作者:Casta馿r, J.; Hillier, K.
来源:Drugs Fut 1978,3(4),282
合成路线图解说明:

The cyclization of a mixture of ethyl mercaptoacetate (I) and ethyl cyanacetate (II) by means of sodium ethoxide in ethanol gives ethyl 4-oxo-2-thiazolidinylideneacetate (III), which is methylated with sodium methoxide and methyl iodide yielding the N-methyl analog (IV). Bromination of (IV) with Br2 in chloroform affords the 5-bromo derivative (V), which is finally treated with piperidine (VI) in benzene.

Drug Information Express,Drug R&D,Chemical Database,Patent Search.
Copyright © 2006-2026 Drug Future. All rights reserved.Contact Us