【药物名称】Tetroxoprim
化学结构式(Chemical Structure):
参考文献No.900275
标题:
作者:Liebenow, W.; Prikryl, J.
来源:DE 2313361
合成路线图解说明:

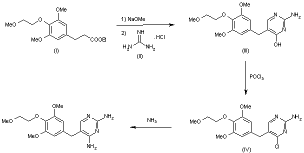
Tetroxoprim can be synthesised by three different routes: 1) 2-Amino-4-hydroxy-5-[3,5-dimethoxy-4-(2-methoxyethoxy)benzyl]pyrimidine can be obtained by conversion of 3,5-dimethoxy-4-(2-methoxyethoxy)hydroxycinnamic acid ethyl ester (I) with the addition of sodium methylate and guanidine hydrochloride (II). With the acid of phosphorousoxychloride (III) can be converted to (IV) and then finally aminolysed to tetroxoprim at 160 C.

合成路线图解说明:

2) Using 3,5-dimethoxy-4-(2-methoxyethoxy)benzaldehyde (V) as a starting material, Tetroprim can be obtained by reaction with 3-methoxypropionitrile (VI) in the presence of a basic catalyst and ring closure finally brought about with guanidine hydrochloride (II).

合成路线图解说明:

3) 2,4-Diamino-5-(3,5-dimethoxy-4-hydroxybenzyl)pyrimidine (VII) can be etherised after heating under reflux for three hours with p-toluenesulfonic acid-(2-methoxyethyl)ester (IX) in the presence of a basic catalyst.

参考文献No.950014
标题:Tetroxoprim
作者:Pothmann, R.
来源:Drugs Fut 1979,4(12),895
合成路线图解说明:

Tetroxoprim can be synthesised by three different routes: 1) 2-Amino-4-hydroxy-5-[3,5-dimethoxy-4-(2-methoxyethoxy)benzyl]pyrimidine can be obtained by conversion of 3,5-dimethoxy-4-(2-methoxyethoxy)hydroxycinnamic acid ethyl ester (I) with the addition of sodium methylate and guanidine hydrochloride (II). With the acid of phosphorousoxychloride (III) can be converted to (IV) and then finally aminolysed to tetroxoprim at 160 C.

合成路线图解说明:

2) Using 3,5-dimethoxy-4-(2-methoxyethoxy)benzaldehyde (V) as a starting material, Tetroprim can be obtained by reaction with 3-methoxypropionitrile (VI) in the presence of a basic catalyst and ring closure finally brought about with guanidine hydrochloride (II).

合成路线图解说明:

3) 2,4-Diamino-5-(3,5-dimethoxy-4-hydroxybenzyl)pyrimidine (VII) can be etherised after heating under reflux for three hours with p-toluenesulfonic acid-(2-methoxyethyl)ester (IX) in the presence of a basic catalyst.

Drug Information Express,Drug R&D,Chemical Database,Patent Search.
Copyright © 2006-2026 Drug Future. All rights reserved.Contact Us