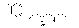
【药物名称】Prenalterol
化学结构式(Chemical Structure):
参考文献No.900271
标题:
作者:Schroeter, H.; et al.
来源:BE 825289; DE 2503751; FR 2260337; JP 75108228; NL 7501496; ZA 7500799
合成路线图解说明:

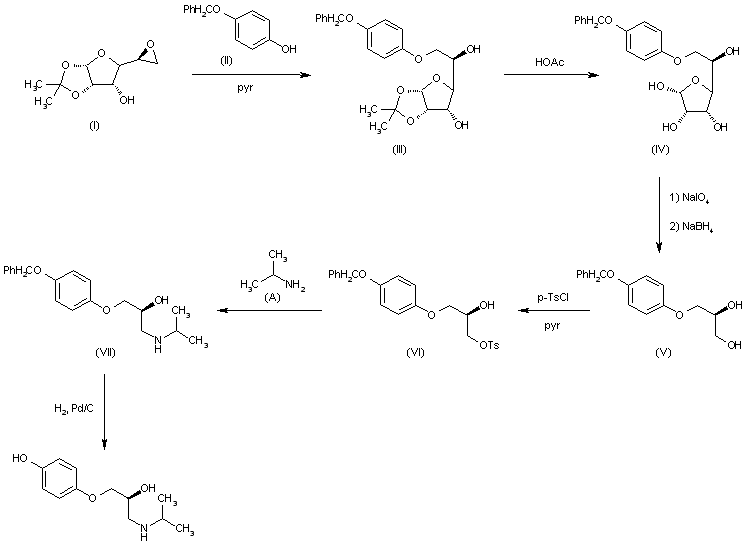
The reaction of 5,6-anhydro-1,2-O-isopropylidene-alpha-D-glucofuranose (I) with monobenzylether of hydroquinone (II) by means of pyridine at 120 C gives 1,2-O-isopropylidene-6-O-(4-benzyloxyphenyl)-alpha-D-glucose (III), which is hydrolized with acetic acid yielding 6-O-(4-benzyloxyphenyl)-alpha-D-glucose (IV). The cleavage of (IV) with NaIO4 in methanol - acetic acid, followed by reduction of the resulting product with NaBH4 in methanol affords 1-(4-benzyloxyphenoxy)-2S-3-dihydroxypropane (V), which is monotosylated with tosyl chloride in pyridine giving the tosyl derivative (VI). The reaction of (VI) with isopropylamine (VII) in hot ethanol affords (S)-3-isopropylamino-1-(4-benzyloxyphenoxy)-2-propanol (VIII), which is finally debenzylated by reduction with H2 over Pd/C in ethanol.

参考文献No.950009
标题:Prenalterol
作者:Casta馿r, J.; Weetman, D.F.
来源:Drugs Fut 1979,4(1),46
合成路线图解说明:

The reaction of 5,6-anhydro-1,2-O-isopropylidene-alpha-D-glucofuranose (I) with monobenzylether of hydroquinone (II) by means of pyridine at 120 C gives 1,2-O-isopropylidene-6-O-(4-benzyloxyphenyl)-alpha-D-glucose (III), which is hydrolized with acetic acid yielding 6-O-(4-benzyloxyphenyl)-alpha-D-glucose (IV). The cleavage of (IV) with NaIO4 in methanol - acetic acid, followed by reduction of the resulting product with NaBH4 in methanol affords 1-(4-benzyloxyphenoxy)-2S-3-dihydroxypropane (V), which is monotosylated with tosyl chloride in pyridine giving the tosyl derivative (VI). The reaction of (VI) with isopropylamine (VII) in hot ethanol affords (S)-3-isopropylamino-1-(4-benzyloxyphenoxy)-2-propanol (VIII), which is finally debenzylated by reduction with H2 over Pd/C in ethanol.

Drug Information Express,Drug R&D,Chemical Database,Patent Search.
Copyright © 2006-2026 Drug Future. All rights reserved.Contact Us