【药物名称】Amitriptylinoxide
化学结构式(Chemical Structure):
参考文献No.900264
标题:
作者:Pedersen, J.B.
来源:GB 991651
合成路线图解说明:

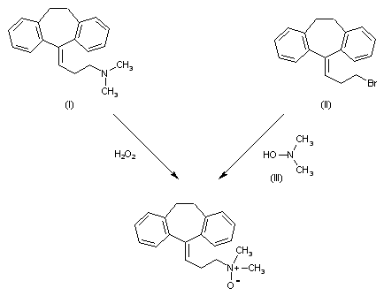
It can be prepared in two different ways: 1) By oxidation of 3-(3-dimethylaminopropylidene)dibenzo[a,d]cyclohepta-1,4-diene (I) with H2O2 in methanol (1-5). 2) By reaction of 3-(3-bromopropylidene)dibenzo[a,d]cyclohepta-1,4-diene (II) with dimethylhydroxylamine (III) by means of K2CO3 in refluxing acetone (1-3).

参考文献No.900265
标题:
作者:
来源:FR M3222
合成路线图解说明:

It can be prepared in two different ways: 1) By oxidation of 3-(3-dimethylaminopropylidene)dibenzo[a,d]cyclohepta-1,4-diene (I) with H2O2 in methanol (1-5). 2) By reaction of 3-(3-bromopropylidene)dibenzo[a,d]cyclohepta-1,4-diene (II) with dimethylhydroxylamine (III) by means of K2CO3 in refluxing acetone (1-3).

参考文献No.900266
标题:
作者:
来源:DE 1243180
合成路线图解说明:

It can be prepared in two different ways: 1) By oxidation of 3-(3-dimethylaminopropylidene)dibenzo[a,d]cyclohepta-1,4-diene (I) with H2O2 in methanol (1-5). 2) By reaction of 3-(3-bromopropylidene)dibenzo[a,d]cyclohepta-1,4-diene (II) with dimethylhydroxylamine (III) by means of K2CO3 in refluxing acetone (1-3).

参考文献No.900267
标题:
作者:
来源:DE 1543224; FR 1447508; FR M4832; GB 1095786; NL 6511947
合成路线图解说明:

It can be prepared in two different ways: 1) By oxidation of 3-(3-dimethylaminopropylidene)dibenzo[a,d]cyclohepta-1,4-diene (I) with H2O2 in methanol (1-5). 2) By reaction of 3-(3-bromopropylidene)dibenzo[a,d]cyclohepta-1,4-diene (II) with dimethylhydroxylamine (III) by means of K2CO3 in refluxing acetone (1-3).

参考文献No.950003
标题:Urinary excretion of amitriptyline N-oxide in humans
作者:Santagostino, G.; et al.
来源:J Pharm Sci 1974,631690
合成路线图解说明:

It can be prepared in two different ways: 1) By oxidation of 3-(3-dimethylaminopropylidene)dibenzo[a,d]cyclohepta-1,4-diene (I) with H2O2 in methanol (1-5). 2) By reaction of 3-(3-bromopropylidene)dibenzo[a,d]cyclohepta-1,4-diene (II) with dimethylhydroxylamine (III) by means of K2CO3 in refluxing acetone (1-3).

参考文献No.950004
标题:Amitriptylinoxide
作者:Blancafort, P.; Serradell, M.N.; Casta馿r, J.; Aboul-Enein, H.Y.
来源:Drugs Fut 1980,5(5),329
合成路线图解说明:

It can be prepared in two different ways: 1) By oxidation of 3-(3-dimethylaminopropylidene)dibenzo[a,d]cyclohepta-1,4-diene (I) with H2O2 in methanol (1-5). 2) By reaction of 3-(3-bromopropylidene)dibenzo[a,d]cyclohepta-1,4-diene (II) with dimethylhydroxylamine (III) by means of K2CO3 in refluxing acetone (1-3).

Drug Information Express,Drug R&D,Chemical Database,Patent Search.
Copyright © 2006-2026 Drug Future. All rights reserved.Contact Us