【药物名称】Tibezonium iodide
化学结构式(Chemical Structure):
参考文献No.803943
标题:Tibezonium Iodide
作者:Casta馿r, J.; de Angelis, L.
来源:Drugs Fut 1978,3(2),152
合成路线图解说明:

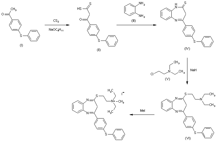
The reaction of 4-acetyldiphenylsulfide (I) with carbon disulfide by means of sodium tert-amyloxide in benzene gives 4-phenylthiobenzoyldithioacetic acid (II), which is cyclized with o-phenylenediamine (III) in refluxing toluene yielding 4-(p-phenylthiophenyl)-1,3-dihydro-2H-1,5-benzodiazepine-2-thione (IV). The condensation of (IV) with diethylaminoethyl chloride (V) by means of NaH in refluxing benzene affords 2-[beta-(N-diethylamino)ethylthio]-4-(p-phenylthio)phenyl-3H-1,5-benzodiazepine (VI), which is finally quaternized with methyl iodide in isopropanol. (1,2)

参考文献No.803944
标题:New 2-methyldialkylammoniumalkylthio-4-p-substituted phenyl-3-H-1,5-benzodiazepine iodides with antibacterial activity
作者:Nardi, D.; et al.
来源:II Farmaco (ed. sc.) 1975,30(Suppl. 3),248
合成路线图解说明:

The reaction of 4-acetyldiphenylsulfide (I) with carbon disulfide by means of sodium tert-amyloxide in benzene gives 4-phenylthiobenzoyldithioacetic acid (II), which is cyclized with o-phenylenediamine (III) in refluxing toluene yielding 4-(p-phenylthiophenyl)-1,3-dihydro-2H-1,5-benzodiazepine-2-thione (IV). The condensation of (IV) with diethylaminoethyl chloride (V) by means of NaH in refluxing benzene affords 2-[beta-(N-diethylamino)ethylthio]-4-(p-phenylthio)phenyl-3H-1,5-benzodiazepine (VI), which is finally quaternized with methyl iodide in isopropanol. (1,2)

参考文献No.900178
标题:
作者:Degen, L. (Recordati S.A. Chem Pharm. Co.)
来源:AT 321922; CH 555347; GB 1412008; GB 1412009; US 3993793
合成路线图解说明:

The reaction of 4-acetyldiphenylsulfide (I) with carbon disulfide by means of sodium tert-amyloxide in benzene gives 4-phenylthiobenzoyldithioacetic acid (II), which is cyclized with o-phenylenediamine (III) in refluxing toluene yielding 4-(p-phenylthiophenyl)-1,3-dihydro-2H-1,5-benzodiazepine-2-thione (IV). The condensation of (IV) with diethylaminoethyl chloride (V) by means of NaH in refluxing benzene affords 2-[beta-(N-diethylamino)ethylthio]-4-(p-phenylthio)phenyl-3H-1,5-benzodiazepine (VI), which is finally quaternized with methyl iodide in isopropanol. (1,2)

Drug Information Express,Drug R&D,Chemical Database,Patent Search.
Copyright © 2006-2026 Drug Future. All rights reserved.Contact Us