【药物名称】Proglumetacin maleate, Protaxon, Proxil
化学结构式(Chemical Structure):
参考文献No.803939
标题:Proglumetacin maleate
作者:Blancafort, P.; Serradell, M.N.; Casta馿r, J.; de Angelis, L.
来源:Drugs Fut 1980,5(3),142
合成路线图解说明:

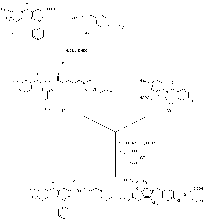
The reaction of N-benzoyl-N?N?di-n-propyl-DL-isoglutamine (I) with N-3-chloropropyl-N?2-hydroxyethylpiperazine (II) by means of sodium methoxide in DMSO at 105 C gives N-[3-(N-benzoyl-N?N?di-n-propyl-DL-isoglutaminyl)oxypropyl]-N?(2-hydroxyethyl)piperazine (III), which is then condensed with 1-(p-chlorobenzoyl)-5-methoxy-2-methylindole-3-acetic acid (IV) by means of dicyclohexylcarbodiimide and NaHCO3 in ethyl acetate, and treated finally with maleic acid (V)

参考文献No.900168
标题:
作者:Makovec, F.; et al. (Rotta Research Laboratorium SpA)
来源:BE 830880; CA 1053663; DE 2535799; FR 2281755; GB 1467568; JP 7643773; JP 7643774; JP 7916511; JP 7916512; NL 7509091; SA 7509091; US 3985878
合成路线图解说明:

The reaction of N-benzoyl-N?N?di-n-propyl-DL-isoglutamine (I) with N-3-chloropropyl-N?2-hydroxyethylpiperazine (II) by means of sodium methoxide in DMSO at 105 C gives N-[3-(N-benzoyl-N?N?di-n-propyl-DL-isoglutaminyl)oxypropyl]-N?(2-hydroxyethyl)piperazine (III), which is then condensed with 1-(p-chlorobenzoyl)-5-methoxy-2-methylindole-3-acetic acid (IV) by means of dicyclohexylcarbodiimide and NaHCO3 in ethyl acetate, and treated finally with maleic acid (V)

Drug Information Express,Drug R&D,Chemical Database,Patent Search.
Copyright © 2006-2026 Drug Future. All rights reserved.Contact Us