【药物名称】Aclatonium napadisilate, TM-723, Abovis
化学结构式(Chemical Structure):
参考文献No.700547
标题:Aclatonium Napadisilate
作者:Casta馿r, J.; Prous, J.
来源:Drugs Fut 1982,7(4),227
合成路线图解说明:

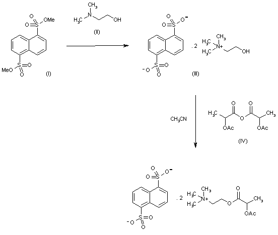
The reaction of dimethyl naphthalene-1,5-disulfonate (I) with dimethylaminoethanol (II) gives bis (2-hydroxyethyltrimethylammonium)naphthalene-1,5-disulfonate (III), which is then condensed with 2-acetoxypropionic anhydride (IV) in refluxing acetonitrile

参考文献No.900171
标题:
作者:Miura, K.; et al. (Tomaya Chem. Co., Ltd.)
来源:DE 2425983; FR 2233045; GB 1436978 FR 2233045; JP 7513320; JP 7518413; JP 7721490; JP 7785118; JP 7837334; JP 8001251; US 3903137
合成路线图解说明:

The reaction of dimethyl naphthalene-1,5-disulfonate (I) with dimethylaminoethanol (II) gives bis (2-hydroxyethyltrimethylammonium)naphthalene-1,5-disulfonate (III), which is then condensed with 2-acetoxypropionic anhydride (IV) in refluxing acetonitrile

Drug Information Express,Drug R&D,Chemical Database,Patent Search.
Copyright © 2006-2026 Drug Future. All rights reserved.Contact Us