【药物名称】Timiperone, DD-3480, Tolopelon
化学结构式(Chemical Structure):
参考文献No.700379
标题:DD-3480
作者:Casta馿r, J.; Blancafort, P.
来源:Drugs Fut 1978,3(6),451
合成路线图解说明:

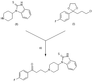
By condesation of 4-chloro-1-(4-fluorophenyl)-1-butanone ethylene ketal (I) with 1-(4-piperidyl)-2-mercaptobenzimidazole (II) by means of KI in refluxing butanol

合成路线图解说明:

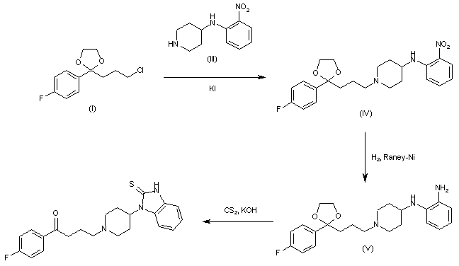
The condensation of 4-chloro-1-(4-fluorophenyl)-1-butanone ethylene ketal (I) with 4-(2-nitroanilino)piperidine (III) by means of KI in refluxing butanol gives 1-[3-(4-fluorobenzoyl)propyl]-4-(2-nitroanilino)piperidine ethylene ketal (IV), which is reduced with H2 over Raney-Ni in methanol yielding the corresponding amino compound (V). Finally this compound is cyclized with CS2 by means of KOH in refluxing ethanol

合成路线图解说明:

By reaction of 1-[1-[3-(4-fluorobenzoyl)propyl]-4-piperidyl]benzimidazol-2-one (VI) refluxing POCl3 to give 1-[1-[3-(4-fluorobenzoyl)propyl]-4-piperidyl]-2-chlorobenzimidazole (VII), which is refluxed with aqueous NaSH

合成路线图解说明:

By heating a mixture of 1-[1-[3-(4-fluorobenzoyl)propyl]-4-piperidyl]benzimidazol-2-one (VI) and P2S5

参考文献No.700540
标题:
作者:
来源:JP 76095096
合成路线图解说明:

The reaction of adenosine-3',5'-cyclic phosphate (I) with butyric anhydride (II) in the presence of triethylamine gives N6,2'-O-dibutyryladenosine-3',5'-cyclic phosphate (III), which is then treated with Na-type Amberlite IR-120 B.

合成路线图解说明:

The reaction of 2-(3-chloropropyl)-2-(4-fluorophenyl)-1,3-dioxolane (I) with 4-aminopyridine (II) gives the corresponding pyridinium salt (III), which is reduced with NaBH4 to 2-[3-(4-aminopiperidyl)propyl]-2-(4-fluorophenyl)-1,3-dioxolane (IV). The condensation of (IV) with 2-chloronitrobenzene (V) yields 2-[3-[4-(2-nitroanilino)piperidyl]propyl]-2-(4-fluorophenyl)-1,3-dioxolane (VI), which is hydrogenated with H2 over Raney-Ni affording the corresponding amino compound (VII). Finally this compound is cyclized with carbon disulfide and KOH

合成路线图解说明:

The reaction of o-phenylenediamine (IX) with 4-chloropyridine (VIII) gives 2-(4-pyridylamino)aniline (X), which is condensed with 2-(3-chloropropyl)-2-(4-fluorophenyl)-1,3-dioxolane (I) to give the corresponding pyridinium salt (XI). The reduction of (XI) with NaBH4 yields amino compound (VII). Finally this compound is cyclized with carbon disulfide and KOH

参考文献No.900172
标题:
作者:Katsujiro, U.; et al. (Daiichi Seiyaku Co., Ltd.)
来源:DE 2526393; GB 1467097; US 3963727
合成路线图解说明:

By condesation of 4-chloro-1-(4-fluorophenyl)-1-butanone ethylene ketal (I) with 1-(4-piperidyl)-2-mercaptobenzimidazole (II) by means of KI in refluxing butanol

合成路线图解说明:

The condensation of 4-chloro-1-(4-fluorophenyl)-1-butanone ethylene ketal (I) with 4-(2-nitroanilino)piperidine (III) by means of KI in refluxing butanol gives 1-[3-(4-fluorobenzoyl)propyl]-4-(2-nitroanilino)piperidine ethylene ketal (IV), which is reduced with H2 over Raney-Ni in methanol yielding the corresponding amino compound (V). Finally this compound is cyclized with CS2 by means of KOH in refluxing ethanol

参考文献No.900173
标题:
作者:Katsujiro, U.; et al. (Daiichi Seiyaku Co., Ltd.)
来源:BE 830171; ZA 7593577
合成路线图解说明:

The condensation of 4-chloro-1-(4-fluorophenyl)-1-butanone ethylene ketal (I) with 4-(2-nitroanilino)piperidine (III) by means of KI in refluxing butanol gives 1-[3-(4-fluorobenzoyl)propyl]-4-(2-nitroanilino)piperidine ethylene ketal (IV), which is reduced with H2 over Raney-Ni in methanol yielding the corresponding amino compound (V). Finally this compound is cyclized with CS2 by means of KOH in refluxing ethanol

参考文献No.900174
标题:
作者:Sato, A. (Daiichi Seiyaku Co., Ltd.)
来源:JP 7584578
合成路线图解说明:

By condesation of 4-chloro-1-(4-fluorophenyl)-1-butanone ethylene ketal (I) with 1-(4-piperidyl)-2-mercaptobenzimidazole (II) by means of KI in refluxing butanol

参考文献No.900175
标题:
作者:Katsujiro, U.; et al. (Daiichi Seiyaku Co., Ltd.)
来源:JP 7584579
合成路线图解说明:

The condensation of 4-chloro-1-(4-fluorophenyl)-1-butanone ethylene ketal (I) with 4-(2-nitroanilino)piperidine (III) by means of KI in refluxing butanol gives 1-[3-(4-fluorobenzoyl)propyl]-4-(2-nitroanilino)piperidine ethylene ketal (IV), which is reduced with H2 over Raney-Ni in methanol yielding the corresponding amino compound (V). Finally this compound is cyclized with CS2 by means of KOH in refluxing ethanol

参考文献No.900176
标题:
作者:Sato, M.; et al. (Daiichi Seiyaku Co., Ltd.)
来源:JP 76128974
合成路线图解说明:

By heating a mixture of 1-[1-[3-(4-fluorobenzoyl)propyl]-4-piperidyl]benzimidazol-2-one (VI) and P2S5

参考文献No.900177
标题:
作者:Sato, M.; et al. (Daiichi Seiyaku Co., Ltd.)
来源:JP 76128975
合成路线图解说明:

By reaction of 1-[1-[3-(4-fluorobenzoyl)propyl]-4-piperidyl]benzimidazol-2-one (VI) refluxing POCl3 to give 1-[1-[3-(4-fluorobenzoyl)propyl]-4-piperidyl]-2-chlorobenzimidazole (VII), which is refluxed with aqueous NaSH

Drug Information Express,Drug R&D,Chemical Database,Patent Search.
Copyright © 2006-2026 Drug Future. All rights reserved.Contact Us