【药物名称】D-Fluviabactin
化学结构式(Chemical Structure):
参考文献No.50095
标题:Synthesis of parabactin and homologs thereof
作者:Bergeron, R.J. Jr. (University of Florida)
来源:US 4565874
合成路线图解说明:

The title compound was prepared by two related methods. Norspermidine 1,7-diamide (I) was acylated at the free amino group with N-(benzyloxycarbonyl)-D-threonine (II), yielding triamide (III). The benzyloxycarbonyl protecting group of (III) was then removed by treatment with PdCl2 to give amine (IV). Subsequent methyl ether cleavage to produce the phenolic derivative (V) was carried out using BBr3 in cold CH2Cl2. Then, cyclization of the amino alcohol moiety of threonine derivative (V) with ethyl 2,3-dihydroxybenzimidate (VI) provided the target oxazoline.

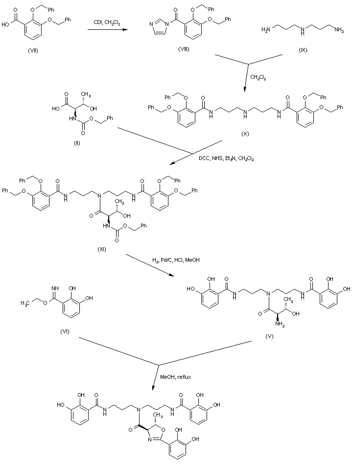
合成路线图解说明:

In an alternative method, 2,3-bis(benzyloxy)benzoic acid (VII) was activated as the corresponding imidazolide (VIII) prior to condensation with norspermidine (IX). The resulting diamide (X) was further acylated with N-(benzyloxycarbonyl)-D-threonine (II) to afford triamide (XI). Hydrogenolysis of the O-benzyl and N-benzyloxycarbonyl protecting groups of (XI) then gave amino alcohol (V), which was finally cyclized with imidate (VI) as above.

参考文献No.626913
标题:Significance of asymmetric sites in choosing siderophores as deferration agents
作者:Bergeron, R.J.; Xin, M.G.; Weimar, W.R.; Smith, R.E.; Wiegand, J.
来源:J Med Chem 2001,44(15),2469
合成路线图解说明:

In an alternative method, 2,3-bis(benzyloxy)benzoic acid (VII) was activated as the corresponding imidazolide (VIII) prior to condensation with norspermidine (IX). The resulting diamide (X) was further acylated with N-(benzyloxycarbonyl)-D-threonine (II) to afford triamide (XI). Hydrogenolysis of the O-benzyl and N-benzyloxycarbonyl protecting groups of (XI) then gave amino alcohol (V), which was finally cyclized with imidate (VI) as above.

Drug Information Express,Drug R&D,Chemical Database,Patent Search.
Copyright © 2006-2026 Drug Future. All rights reserved.Contact Us