【药物名称】
化学结构式(Chemical Structure):
参考文献No.627277
标题:Bisubstrate ketone analogues as serotonin N-acetyltransferase inhibitors
作者:Kim, C.M.; Cole, P.A.
来源:J Med Chem 2001,44(15),2479
合成路线图解说明:

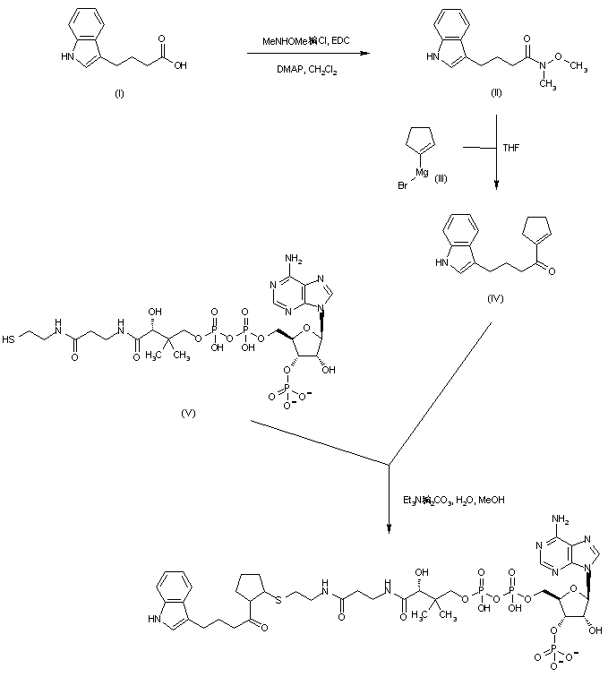
3-Indolebutyric acid (I) was activated as the hydroxamate (II) by coupling with N,O-dimethylhydroxylamine in the presence of EDC and DMAP. Addition of cyclopentenylmagnesium bromide (III) to hydroxamate (II) furnished the unsaturated ketone (IV). Then, Michael addition of coenzyme A (V) to the unsaturated ketone (IV) in the presence of triethylammonium bicarbonate buffer provided the desired adduct.

Drug Information Express,Drug R&D,Chemical Database,Patent Search.
Copyright © 2006-2026 Drug Future. All rights reserved.Contact Us