【药物名称】
化学结构式(Chemical Structure):
参考文献No.627125
标题:Design, synthesis, computational prediction, and biological evaluation of ester soft drugs as inhibitors of dihydrofolate reductase from Pneumocystis carinii
作者:Graffner-Nordberg, M.; Kolmodin, K.; Aqvist, J.; Queener, S.F.; Hallberg, A.
来源:J Med Chem 2001,44(15),2391
合成路线图解说明:

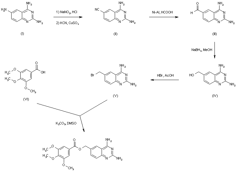
Nitrile (II) was prepared by regioselective diazotization of triaminoquinazoline (I), followed by treatment with KCN and CuSO4. Conversion of nitrile (II) into aldehyde (III) was achieved by means of Ni-Al alloy in refluxing formic acid. Subsequent reduction of aldehyde (III) with NaBH4 gave alcohol (IV), which was further brominated to (V) using HBr in HOAc. Finally, displacement of the bromide of (V) with 3,4,5-trimethoxybenzoic acid (VI) provided the target trimethoxybenzoate ester.

Drug Information Express,Drug R&D,Chemical Database,Patent Search.
Copyright © 2006-2026 Drug Future. All rights reserved.Contact Us