【药物名称】
化学结构式(Chemical Structure):
参考文献No.49067
标题:Synthesis of platinum complexes and uses thereof
作者:Ho, Y.P.; Au-Yeung, S.C.F.; Jiang, T.; Han, X.; Wang, X.; Lin, G.; Lu, S. (Chinese University of Hong Kong)
来源:WO 9849174
合成路线图解说明:

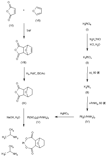
Hexachloroplatinic acid (I) was reduced to potassium tetrachloroplatinate (II) using hydrazine. Treatment of (II) with KI produced the tetraiodoplatinate (III), which was converted to the diamino compound (IV) by reaction with isopropylamine. Conversion to the dinitrate (V) was then effected by iodide ion exchange with silver nitrate. Diels-Alder condensation of maleic anhydride (VI) with furan (VII) furnished adduct (VIII), which was further hydrogenated to (IX) using Pd/C. Then, basic hydrolysis of the cyclic anhydride in the presence of the platinum complex (V) afforded the title compound.

合成路线图解说明:

The Diels-Alder cycloaddition between maleic anhydride (I) and furan (II) produced adduct (III). Subsequent double-bond hydrogenation in the presence of Pd/C furnished the saturated anhydride (IV).

合成路线图解说明:

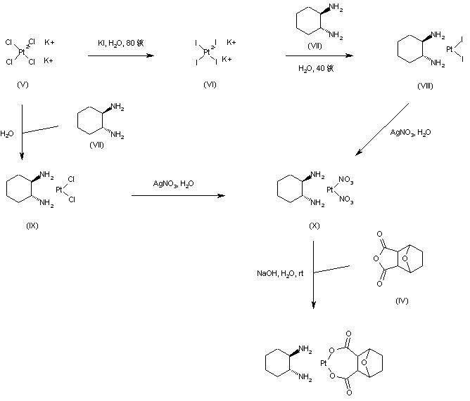
The platinum nitrate derivative (X) was prepared by two related procedures. Halogen-exchange of potassium tetrachloroplatinate (V) with KI produced the tetraiodoplatinate (VI), which was subsequently reacted with trans-1,2-diaminocyclohexane (VII) to give the diamino chelate (VIII). Alternatively, diamine (VII) was reacted with tetrachloroplatinate (V), yielding chelate (IX). Treatment of either iodo compound (VIII) or its analogous chloride (IX) with silver nitrate furnished the dinitrate compound (X). Finally, the diacid formed by basic hydrolysis of anhydride (IV) was in situ complexed with the platinum compound (X) to generate the title platinum complex.

参考文献No.619131
标题:Potential new antitumor agents from an innovative combination of demethylcantharidin, a modified traditional Chinese medicine, with a platinum moiety
作者:Ho, Y.-P.; To, K.K.W.; Au-Yeung, S.C.F.; Wang, X.; Lin, G.; Han, X.
来源:J Med Chem 2001,44(13),2065
合成路线图解说明:

Hexachloroplatinic acid (I) was reduced to potassium tetrachloroplatinate (II) using hydrazine. Treatment of (II) with KI produced the tetraiodoplatinate (III), which was converted to the diamino compound (IV) by reaction with isopropylamine. Conversion to the dinitrate (V) was then effected by iodide ion exchange with silver nitrate. Diels-Alder condensation of maleic anhydride (VI) with furan (VII) furnished adduct (VIII), which was further hydrogenated to (IX) using Pd/C. Then, basic hydrolysis of the cyclic anhydride in the presence of the platinum complex (V) afforded the title compound.

合成路线图解说明:

The Diels-Alder cycloaddition between maleic anhydride (I) and furan (II) produced adduct (III). Subsequent double-bond hydrogenation in the presence of Pd/C furnished the saturated anhydride (IV).

合成路线图解说明:

The platinum nitrate derivative (X) was prepared by two related procedures. Halogen-exchange of potassium tetrachloroplatinate (V) with KI produced the tetraiodoplatinate (VI), which was subsequently reacted with trans-1,2-diaminocyclohexane (VII) to give the diamino chelate (VIII). Alternatively, diamine (VII) was reacted with tetrachloroplatinate (V), yielding chelate (IX). Treatment of either iodo compound (VIII) or its analogous chloride (IX) with silver nitrate furnished the dinitrate compound (X). Finally, the diacid formed by basic hydrolysis of anhydride (IV) was in situ complexed with the platinum compound (X) to generate the title platinum complex.

Drug Information Express,Drug R&D,Chemical Database,Patent Search.
Copyright © 2006-2025 Drug Future. All rights reserved.Contact Us