【药物名称】CHIR-99021
化学结构式(Chemical Structure):
参考文献No.41559
标题:Inhibitors of glycogen synthase kinase 3
作者:Brown, S.P.; Goff, D.; Ring, D.B.; Harrison, S.D.; Subramanian, S.; Nuss, J.M.; Boyce, R.S.; Johnson, K.; Pfister, K.B.; Ramurthy, S.; Renhowe, P.A.; Seely, L.; Wagman, A.S.; Zhou, X.A. (Chiron Corp.)
来源:EP 1087963; US 6417185; WO 9965897
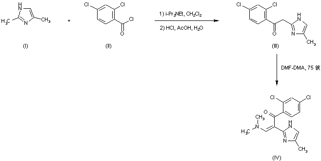
合成路线图解说明:

Acylation of 2,4-dimethylimidazole (I) with 2,4-dichlorobenzoyl chloride (II) in the presence of diisopropylethylamine, followed by acidic hydrolysis, provides the 2-imidazolyl acetophenone (III). Subsequent condensation of (III) with dimethylformamide dimethylacetal gives rise to the enaminone (IV)

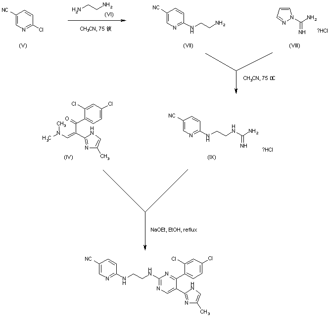
合成路线图解说明:

Condensation of 2-chloro-5-cyanopyridine (V) with ethylenediamine (VI) yields the N-pyridyl ethylenediamine (VII). Subsequent reaction of amine (VII) with pyrazole-1-carboxyamidine (VIII) in refluxing acetonitrile affords guanidine (IX). Finally, condensation between guanidine (IX) and enaminone (IV) in the presence of NaOEt produces the title pyrimidine derivative

参考文献No.54497
标题:Inhibitors of glycogen synthase kinase 3
作者:Ring, D.B.; Harrison, S.D.; Nuss, J.M.; Boyce, R.S.; Johnson, K.; Pfister, K.B.; Ramurthy, S.; Seely, L.; Wagman, A.S.; Desai, M.; Levine, B.H. (Chiron Corp.)
来源:WO 0220495
合成路线图解说明:

Acylation of 2,4-dimethylimidazole (I) with 2,4-dichlorobenzoyl chloride (II) in the presence of diisopropylethylamine, followed by acidic hydrolysis, provides the 2-imidazolyl acetophenone (III). Subsequent condensation of (III) with dimethylformamide dimethylacetal gives rise to the enaminone (IV)

合成路线图解说明:

Condensation of 2-chloro-5-cyanopyridine (V) with ethylenediamine (VI) yields the N-pyridyl ethylenediamine (VII). Subsequent reaction of amine (VII) with pyrazole-1-carboxyamidine (VIII) in refluxing acetonitrile affords guanidine (IX). Finally, condensation between guanidine (IX) and enaminone (IV) in the presence of NaOEt produces the title pyrimidine derivative

Drug Information Express,Drug R&D,Chemical Database,Patent Search.
Copyright © 2006-2026 Drug Future. All rights reserved.Contact Us