【药物名称】Oxibendazole, SK&F-30310, Filaribits Plus, Anthelcide EQ
化学结构式(Chemical Structure):
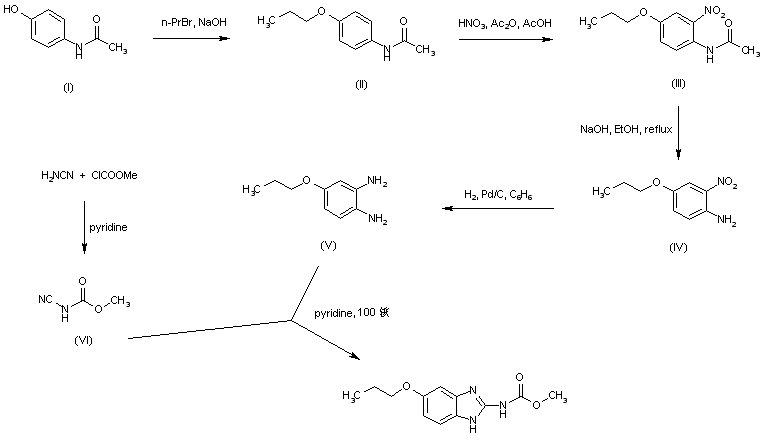
参考文献No.55747
标题:Anthelmintic compsns. and methods employing esters of benzimidazolyl carbamic acids and their thio analogs
作者:Actor, P.P.; Pagano, J.F. (GlaxoSmithKline Inc.)
来源:BE 0666795; BE 0691611; CH 479590; DE 1620439; DE 1795799; FR 1510235; GB 1096190; GB 1114069; GB 1123317; US 3574845
合成路线图解说明:

Alkylation of 4-hydroxyacetanilide (I) with n-propyl bromide provided 4-propoxyacetanilide (II). Aromatic nitration of (II) with fuming nitric acid in the presence of acetic anhydride afforded the nitro acetanilide (III), which was further hydrolyzed to the nitro aniline (IV) under basic conditions. Subsequent catalytic hydrogenation of the nitro group of (IV) furnished the phenylenediamine (V). Cyanocarbamate (VI), generated from cyanamide and methyl chloroformate, was then condensed with 4-propoxy-1,2-phenylenediamine (V) in hot pyridine to provide the title benzimidazolyl carbamate.

参考文献No.680028
标题:2H-Benzimidazoles (isobenzimidazoles). Part 10. Synthesis of polysubstituted o-phenylenediamines and their conversion into heterocycles, particularly 2-substituted benzimidazoles with known or potential anthelmintic activity
作者:Hazelton, J.C.; et al.
来源:Tetrahedron 1995,51(39),10771
合成路线图解说明:

An new process for the preparation of the precursor phenylenediamine (V) has been reported. The previously reported 5-chlorobenzimidazole-2-spirocyclohexane (VII) was treated with sodium propoxide to yield the propoxy derivative (VIII). Sodium dithionite reduction of (VIII) gave rise to the target phenylenediamine (V) via intermediate (IX). Then, condensation of diamine (V) with cyanamide and methyl chloroformate produced the target benzimidazole derivative.

参考文献No.804011
标题:Oxibendazole
作者:Casta馿r, J.; Bogan, J.A.
来源:Drugs Fut 1976,1(5),255
合成路线图解说明:

Alkylation of 4-hydroxyacetanilide (I) with n-propyl bromide provided 4-propoxyacetanilide (II). Aromatic nitration of (II) with fuming nitric acid in the presence of acetic anhydride afforded the nitro acetanilide (III), which was further hydrolyzed to the nitro aniline (IV) under basic conditions. Subsequent catalytic hydrogenation of the nitro group of (IV) furnished the phenylenediamine (V). Cyanocarbamate (VI), generated from cyanamide and methyl chloroformate, was then condensed with 4-propoxy-1,2-phenylenediamine (V) in hot pyridine to provide the title benzimidazolyl carbamate.

Drug Information Express,Drug R&D,Chemical Database,Patent Search.
Copyright © 2006-2026 Drug Future. All rights reserved.Contact Us