【药物名称】Bamet-R2
化学结构式(Chemical Structure):
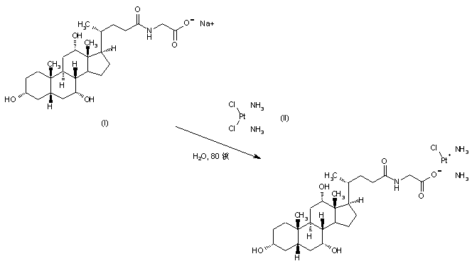
参考文献No.624378
标题:Synthesis and characterization of the new cytostatic complex cis-diammineplatinum(II)-chlorocholylglycinate
作者:Criado, J.J.; et al.
来源:Bioconjugate Chem 1997,8(4),453
合成路线图解说明:

The title compound was obtained by mixing aqueous solutions of sodium cholylglycinate (I) and cis-diamminedichloroplatinum (II) at 80 C.

Drug Information Express,Drug R&D,Chemical Database,Patent Search.
Copyright © 2006-2026 Drug Future. All rights reserved.Contact Us