【药物名称】ODC-188(free base), DU-1101(free base), ODC-218, DU-1102
化学结构式(Chemical Structure):
参考文献No.51402
标题:Dual molecules containing a peroxide deriv., synthesis and therapeutic applications thereof
作者:Robert, A.; Dechy Cabaret, O.; Meunier, B.; Benoit Vical, F. (CNRS (Centre National de la Recherche Scientifique))
来源:FR 2807433; WO 0177105
合成路线图解说明:

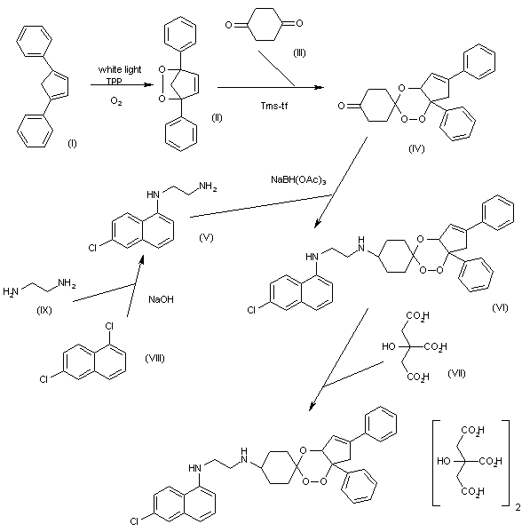
The peroxidation of 1,4-diphenyl-1-cyclopentadiene (I) with O2, white light and activated by tetraphenylporphyrin in dichloromethane gives the peroxide (II), which is condensed with cyclohexane-1,4-dione (III) by means of trimethylsilyl trifluoromethanesulfonate in dichloromethane, yielding the adduct (IV). The reductocondensation of (IV) with N-(7-chloroquinolin-4-yl)ethylenediamine (V) by means of NaBH(OAc)3 in dichloromethane affords the tricyclic trioxane (VI), which is finally treated with citric acid in acetone to provide the target citrate. The intermediate N-(7-chloroquinolin-4-yl)ethylenediamine (V) has been obtained by reaction of 4,7-dichloroquinoline (VIII) with ethylenediamine by means of NaOH at 85 C.

参考文献No.637458
标题:Preparation of antimalarial activities of "trioxaquines", new modular molecules with a trioxane skeleton linked to a 4-aminoquinoline
作者:Dechy-Cabaret, O.; et al.
来源:ChemBioChem 2000,1(4),281
合成路线图解说明:

The peroxidation of 1,4-diphenyl-1-cyclopentadiene (I) with O2, white light and activated by tetraphenylporphyrin in dichloromethane gives the peroxide (II), which is condensed with cyclohexane-1,4-dione (III) by means of trimethylsilyl trifluoromethanesulfonate in dichloromethane, yielding the adduct (IV). The reductocondensation of (IV) with N-(7-chloroquinolin-4-yl)ethylenediamine (V) by means of NaBH(OAc)3 in dichloromethane affords the tricyclic trioxane (VI), which is finally treated with citric acid in acetone to provide the target citrate. The intermediate N-(7-chloroquinolin-4-yl)ethylenediamine (V) has been obtained by reaction of 4,7-dichloroquinoline (VIII) with ethylenediamine by means of NaOH at 85 C.

Drug Information Express,Drug R&D,Chemical Database,Patent Search.
Copyright © 2006-2026 Drug Future. All rights reserved.Contact Us