【药物名称】SCH-72788
化学结构式(Chemical Structure):
参考文献No.49421
标题:Muscarinic antagonists
作者:Kozlowski, J.A.; McQuade, R.; Clader, J.W.; Tagat, J.R.; Dugar, S.; Vaccaro, W.D.; Josien, H.B.; McCombie, S.W.; Sherlock, M.; Lowe, D.B.; Barnett, A.; Boyle, C.D.; Berger, J.G.; Vice, S.F.; Asberom, T.; Browne, M.E.; et al. (Schering Corp.)
来源:WO 9805292
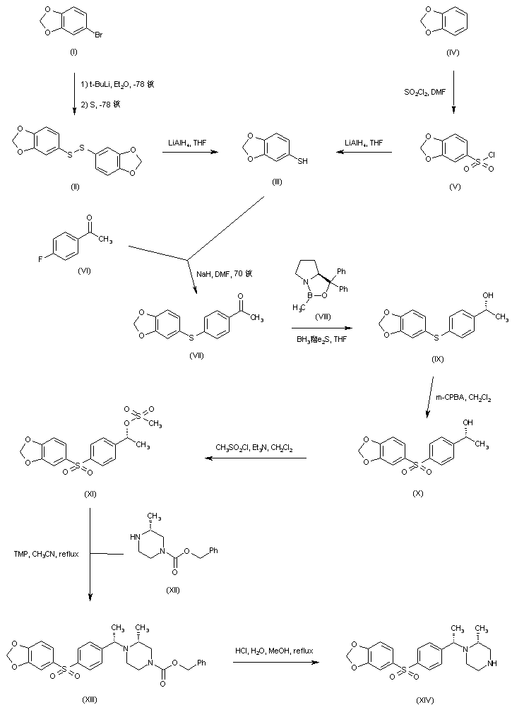
合成路线图解说明:

Lithiation of 5-bromo-1,3-benzodioxole (I), followed by reaction with elemental sulfur gave disulfide (II), which was reduced to thiol (III) by using LiAlH4. In an alternative procedure, thiol (III) was prepared by chlorosulfonation of benzodioxole (IV) and then reduction of the resulting sulfonyl chloride (V) with LiAlH4. Condensation of thiol (III) with p-fluoroacetophenone (VI) provided the diaryl sulfide (VII). Asymmetric reduction of the keto group of (VII) employing borane-dimethyl sulfide complex in the presence of the chiral oxazaborole auxiliary (VIII) yielded the (R)-alcohol (IX), which was converted to mesylate (XI) by oxidation with MCPBA to sulfone (X), a treatment with methanesulfonyl chloride and triethylamine. Alkylation of benzyl (R)-3-methylpiperazine-1-carboxylate (XII) with the chiral mesylate (XI) gave adduct (XIII). The benzyloxycarbonyl protecting group of (XIII) was then removed by acid hydrolysis, yielding piperazine (XIV).

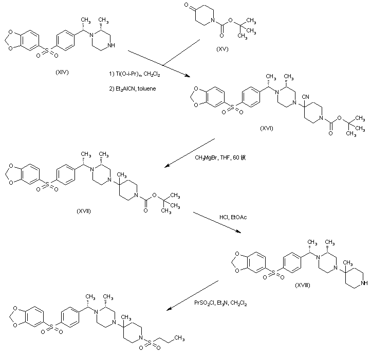
合成路线图解说明:

Condensation of piperazine (XIV) with N-Boc-4-piperidinone (XV) in the presence of titanium isopropoxide as the dehydrating reagent, followed by addition of diethylaluminum cyanide to the intermediate iminium salt, provided the alpha-aminonitrile (XVI). The cyano group of (XVI) was subsequently displaced with methylmagnesium bromide, affording the methyl derivative (XVII). After acid cleavage of the Boc protecting group of (XVII), the resulting piperidine (XVIII) was finally acylated with propanesulfonyl chloride to furnish the corresponding sulfonamide.

Drug Information Express,Drug R&D,Chemical Database,Patent Search.
Copyright © 2006-2026 Drug Future. All rights reserved.Contact Us