【药物名称】TZDM
化学结构式(Chemical Structure):
参考文献No.620918
标题:Radioiodinated styrylbenzenes and thioflavins as probes for amyloid aggregates
作者:Zhuang, Z.-P.; Kung, M.P.; Hou, C.; Skovronsky, D.M.; Gur, T.L.; Plossl, K.; Trojanowski, J.Q.; Lee, V.M.; Kung, H.F.
来源:J Med Chem 2001,44(12),1905
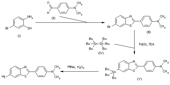
合成路线图解说明:

The cyclization of 4-bromo-2-sulfanylaniline (I) with 4-(dimethylamino)benzaldehyde (II) by heating at 180 C in DMSO gives 6-bromo-2-[4-(dimethylamino)phenyl]benzothiazole (III), which is treated with (Bu3Sn)2 (IV) and Pd(PPh3)4 and TEA in dioxane to yield the tributyltin derivative (V). Finally, this compound is treated with 125INa and H2O2 in ethanol/water to afford the target radiolabeled compound.

Drug Information Express,Drug R&D,Chemical Database,Patent Search.
Copyright © 2006-2026 Drug Future. All rights reserved.Contact Us