【药物名称】
化学结构式(Chemical Structure):
参考文献No.41772
标题:C-Terminal modified oxamyl dipeptides as inhibitors of the ICE/ced-3 family of cysteine proteases
作者:Karanewsky, D.S.; Ternansky, R.J. (Idun Pharmaceuticals, Inc.)
来源:EP 1091930; WO 0001666
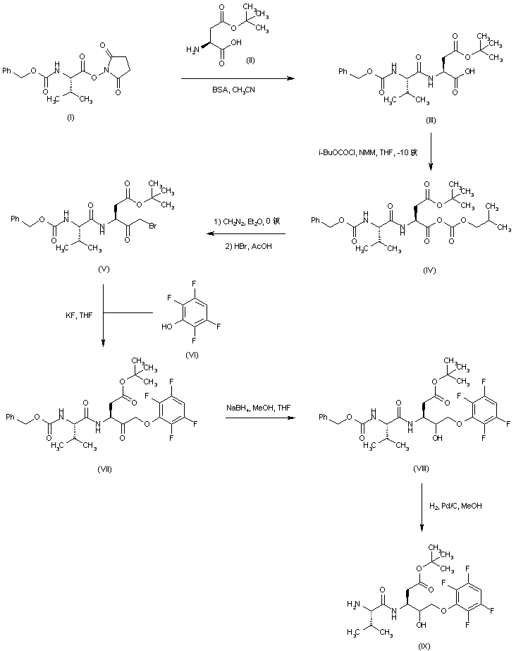
合成路线图解说明:

Aspartic acid beta-tert-butyl ester (II) was silylated using bis(trimethylsilyl)acetamide and subsequently coupled with the hydroxysuccinimidyl ester of Z-valine (I) to furnish dipeptide (III) (1). This was converted to the corresponding mixed anhydride (IV) with isobutyl chloroformate and N-methylmorpholine. Reaction of anhydride (IV) with ethereal diazomethane, followed by treatment of the intermediate diazo ketone with HBr in HOAc, gave rise to the bromo ketone (V). Tetrafluorophenol (VI) was alkylated with bromide (V) to yield ether (VII). The ketone function of (VII) was then reduced to alcohol (VIII) employing NaBH4. Further hydrogenolysis of the benzyloxycarbonyl group of (VIII) provided amine (IX).

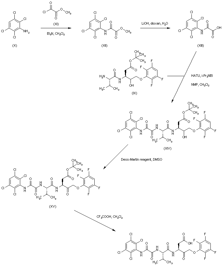
合成路线图解说明:

Acylation of tetrachloroaniline (X) with methyl oxalyl chloride (XI) provided the oxamate ester (XII), which was further hydrolyzed to the N-(tetrachlorophenyl)oxamic acid (XIII) by using LiOH. Coupling of acid (XIII) with the intermediate amine (IX) in the presence of HATU furnished the oxalic diamide (XIV). The alcohol function of (XIV) was then reoxidized to ketone (XV) employing the Dess-Martin periodinane reagent. Finally, the tert-butyl ester group of (XV) was cleaved by treatment with trifluoroacetic acid.

参考文献No.614231
标题:Structure-activity relationship of a series of oxamyl dipeptide caspase inhibitors developed for the treatment of stroke
作者:Ternansky, R.J.; et al.
来源:221st ACS Natl Meet (April 1 2001, San Diego) 2001,Abst MEDI 75
合成路线图解说明:

Aspartic acid beta-tert-butyl ester (II) was silylated using bis(trimethylsilyl)acetamide and subsequently coupled with the hydroxysuccinimidyl ester of Z-valine (I) to furnish dipeptide (III) (1). This was converted to the corresponding mixed anhydride (IV) with isobutyl chloroformate and N-methylmorpholine. Reaction of anhydride (IV) with ethereal diazomethane, followed by treatment of the intermediate diazo ketone with HBr in HOAc, gave rise to the bromo ketone (V). Tetrafluorophenol (VI) was alkylated with bromide (V) to yield ether (VII). The ketone function of (VII) was then reduced to alcohol (VIII) employing NaBH4. Further hydrogenolysis of the benzyloxycarbonyl group of (VIII) provided amine (IX).

合成路线图解说明:

Acylation of tetrachloroaniline (X) with methyl oxalyl chloride (XI) provided the oxamate ester (XII), which was further hydrolyzed to the N-(tetrachlorophenyl)oxamic acid (XIII) by using LiOH. Coupling of acid (XIII) with the intermediate amine (IX) in the presence of HATU furnished the oxalic diamide (XIV). The alcohol function of (XIV) was then reoxidized to ketone (XV) employing the Dess-Martin periodinane reagent. Finally, the tert-butyl ester group of (XV) was cleaved by treatment with trifluoroacetic acid.

Drug Information Express,Drug R&D,Chemical Database,Patent Search.
Copyright © 2006-2026 Drug Future. All rights reserved.Contact Us