【药物名称】
化学结构式(Chemical Structure):
参考文献No.623667
标题:Heterocycle-containing retinoids. Discovery of a novel isoxazole arotinoid possessing potent apoptotic activity in multidrug and drug-induced apoptosis-resistant cells
作者:Simoni, D.; Roberti, M.; Invidiata, F.P.; Rondanin, R.; Baruchello, R.; Malagutti, C.; Mazzali, A.; Rossi, M.; Grimaudo, S.; Capone, F.; Dusonchet, L.; Meli, M.; Raimondi, M.V.; Landino, M.; D'Alessandro, N.; Tolomeo, M.; Arindam, D.; Lu, S.; et al.
来源:J Med Chem 2001,44(14),2308
合成路线图解说明:

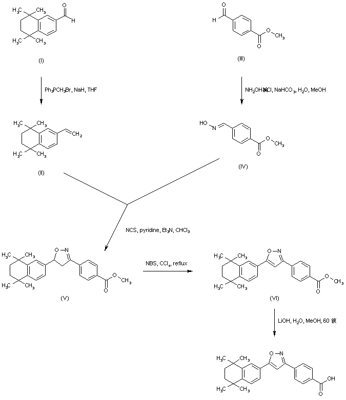
Wittig reaction of aldehyde (I) with methylene triphenylphosphorane produced olefin (II). Oxime (IV) was prepared from methyl 4-formylbenzoate (III) by treatment with hydroxylamine. The nitrile oxide generated from imine (IV) by chlorination, followed by elimination under basic conditions, underwent a [3+2] regioselective cycloaddition with alkene (II) to produce isoxazoline (V). Oxidation of the isoxazoline ring of (V) to the corresponding isoxazole derivative (VI) was accomplished by treatment with N-bromosuccinimide. Finally, ester hydrolysis with LiOH furnished the title carboxylic acid.

Drug Information Express,Drug R&D,Chemical Database,Patent Search.
Copyright © 2006-2026 Drug Future. All rights reserved.Contact Us