【药物名称】
化学结构式(Chemical Structure):
参考文献No.623741
标题:5-(Tryptophyl) amino-1,3-dioxoperhydropyrido[1,2-c]pyrimidine-based potent and selective CCK1 receptor antagonists: Structure-activity relationship studies on the substituent at N2-position
作者:Bartolom?Nebreda, J.M.; Patino-Molina, R.; Martin-Martinez, M.; Gomez-Monterrey, I.; Garcia-Lopez, M.T.; Gonzalez-Muniz, R.; Cenarruzabeitia, E.; Latorre, M.; Del Rio, J.; Herranz, R.
来源:J Med Chem 2001,44(13),2219
合成路线图解说明:

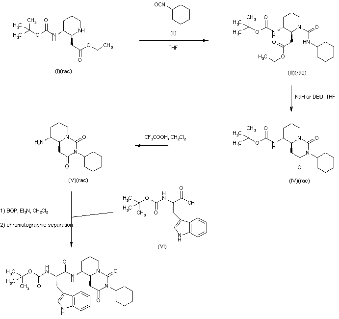
The trans-3-amino-2-piperidineacetic acid derivative (I), obtained as a 5:1 mixture of (2S,3R)- and (2R,3S)-isomers, was condensed with cyclohexyl isocyanate (II) to produce urea (III). Base-catalyzed cyclization of (III) gave rise to the dioxo pyridopyrimidine (IV). Acid cleavage of the Boc group of (IV) afforded the corresponding mixture of enantiomeric trans-amines (V). Acylation of amines (V) with N-Boc-L-tryptophan (VI) by means of BOP as the coupling reagent furnished the corresponding mixture of diastereomeric amides from which the target isomer was isolated by preparative TLC.

Drug Information Express,Drug R&D,Chemical Database,Patent Search.
Copyright © 2006-2026 Drug Future. All rights reserved.Contact Us