【药物名称】T-2513
化学结构式(Chemical Structure):
参考文献No.32380
标题:Camptothecin derivs.
作者:Tsujihara, K.; Kawaguchi, T.; Okuno, S.; Yano, T. (Tanabe Seiyaku Co., Ltd.)
来源:CA 2182244; EP 0757049; JP 1998072467; US 5837673
合成路线图解说明:

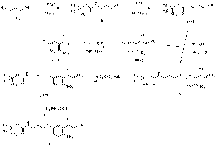
The precursor aminopropiophenone (XXVII) was synthesized as follows: 3-Amino-1-propanol (XX) was converted to the N-Boc derivative (XXI) and subsequently sulfonylated with p-toluenesulfonyl chloride to afford tosylate (XXII). Addition of vinylmagnesium bromide to 5-hydroxy-2-nitrobenzaldehyde (XXIII) provided the allyl alcohol (XXIV). The phenolic hydroxyl of (XXIV) was then alkylated with tosylate (XXII), yielding ether (XXV). The oxidation of the OH group of (XXV) with MnO2 gave the unsaturated ketone (XXVI). Catalytic hydrogenation of the olefin and nitro groups of (XXVI) provided the aminopropiophenone (XXVII).

合成路线图解说明:

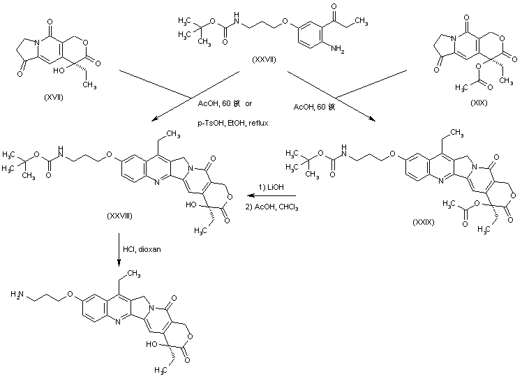
The title compound was prepared from aminopropiophenone (XXVII) by several procedures. Aldol condensation of (XXVII) with the intermediate pyranoindolizinetrione (XVII) with concomitant Friedlander quinoline synthesis under acidic conditions furnished the camptothecin derivative (XXVIII). Optionally, (XXVIII) was also obtained by condensation of (XXVII) with intermediate ketone (XIX), followed by basic hydrolysis of the resultant lactone-ester (XXIX) and subsequent relactonization under acidic conditions. Finally, acid cleavage of the N-Boc group of (XXVII) yielded the title compound.

参考文献No.50591
标题:S type 2-substd. hydroxy-2-indolidinylbutyric ester cpds. and process for preparation thereof
作者:Nomura, S.; Tsujihara, K.; Kawaguchi, T. (Tanabe Seiyaku Co., Ltd.)
来源:US 6277992
合成路线图解说明:

Indolizinone (I) was converted to the cyclic ketal (III) upon treatment with 2,2-dimethyl-1,3-propanediol (II) in the presence of p-toluenesulfonic acid. Carbethoxylation of (III) with diethyl carbonate and NaH afforded ester (IV), which was halogenated with either bromine or N-chlorosuccinimide to produce the corresponding alpha-bromo (V) or alpha-chloro (VI) ester, respectively. Sulfonylation of (R)-1,2,3,4-tetrahydroisoquinoline-3-carboxylic acid (VII) with 4-biphenylylsulfonyl chloride (VIII) provided the chiral auxiliary (IX). This was then condensed with halo ester (V) or (VI) in the presence of K2CO3 to furnish adduct (X). Diastereoselective alkylation of the sodium enolate of (X) with ethyl iodide produced (XI) as the major isomer. The cyano group of (XI) was then converted to acetamide (XII) by catalytic hydrogenation over Raney nickel in the presence of Ac2O and HOAc. Subsequent nitrosation of amide (XII) with NaNO2 in Ac2O/HOAc gave acetate ester (XIII).

合成路线图解说明:

Treatment of (XIII) with aqueous trifluoroacetic acid produced simultaneous ketal group hydrolysis and lactonization, yielding intermediate (XIV). Optionally, basic hydrolysis of the ester groups of (XIII) with LiOH produced the lithium carboxylate salt (XV). Lactonization of (XV) with HOAc in chloroform gave (XVI). The cyclic ketal group of (XVI) was then hydrolyzed with aqueous trifluoroacetic acid to produce the intermediate (XVII). Alternatively, (XVII) was also produced by simultaneous hydrolysis and cyclization of (XV) with aqueous trifluoroacetic acid or by basic hydrolysis of (XIV), followed by acidic treatment. Intermediate (XIX) was prepared by acetylation of (XVI) followed by acidic hydrolysis of the resulting ketal (XVIII).

合成路线图解说明:

The precursor aminopropiophenone (XXVII) was synthesized as follows: 3-Amino-1-propanol (XX) was converted to the N-Boc derivative (XXI) and subsequently sulfonylated with p-toluenesulfonyl chloride to afford tosylate (XXII). Addition of vinylmagnesium bromide to 5-hydroxy-2-nitrobenzaldehyde (XXIII) provided the allyl alcohol (XXIV). The phenolic hydroxyl of (XXIV) was then alkylated with tosylate (XXII), yielding ether (XXV). The oxidation of the OH group of (XXV) with MnO2 gave the unsaturated ketone (XXVI). Catalytic hydrogenation of the olefin and nitro groups of (XXVI) provided the aminopropiophenone (XXVII).

合成路线图解说明:

The title compound was prepared from aminopropiophenone (XXVII) by several procedures. Aldol condensation of (XXVII) with the intermediate pyranoindolizinetrione (XVII) with concomitant Friedlander quinoline synthesis under acidic conditions furnished the camptothecin derivative (XXVIII). Optionally, (XXVIII) was also obtained by condensation of (XXVII) with intermediate ketone (XIX), followed by basic hydrolysis of the resultant lactone-ester (XXIX) and subsequent relactonization under acidic conditions. Finally, acid cleavage of the N-Boc group of (XXVII) yielded the title compound.

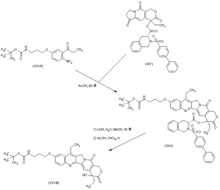
合成路线图解说明:

In an alternative procedure, condensation of aminopropiophenone (XXVII) with the intermediate pyranoindolizinetrione (XIV) under acidic conditions gave rise to camptothecin derivative (XXX). Basic hydrolysis of the chiral auxiliary ester and lactone groups of (XXX) followed by acidic relactonization then gave the precursor (XXVIII), which was finally subjected to Boc group cleavage as indicated above.

Drug Information Express,Drug R&D,Chemical Database,Patent Search.
Copyright © 2006-2026 Drug Future. All rights reserved.Contact Us