【药物名称】Talabostat, ValboroPro, PT-100
化学结构式(Chemical Structure):
参考文献No.49225
标题:Cyclic boroproline cpds.
作者:Wallner, B.P. (Point Therapeutics, Inc.)
来源:JP 2002517401; WO 9962914
合成路线图解说明:

Metalation of N-Boc-pyrrole (I) with the lithium amide of tetramethylpiperidine, followed by boronation with triethyl borate and acidic work-up leads to the pyrroleboronic acid (II). Subsequent catalytic hydrogenation over Pt/C provides the racemic pyrrolidineboronic acid (III). Alternatively, protection of pyrrolidine (IV) with Boc2O affords (V). After metalation of N-Boc-pyrrolidine (V) with s-butyllithium, treatment with triethyl borate gives rise to the boronic acid (III). Condensation of the racemic boronic acid (III) with (+)-pinanediol (VI) furnishes the corresponding mixture of diastereoisomeric pinanediol boronates, from which the desired isomer (VII) can be isolated by column chromatography. Further removal of the N-Boc protecting group under acidic conditions yields the pyrrolidineboronic ester (VIII). Coupling of pyrrolidine (VIII) with N-Boc-L-valine (IX) produces amide (X). The N-Boc group is then cleaved with HCl in Et2O to afford the deprotected amine (XI). Finally, removal of the pinanediol moiety by transesterification of the boronic ester (XI) with phenylboronic acid provides the desired boronic dipeptide

参考文献No.61580
标题:Method for making a prolineboronate ester
作者:Adams, J.; Kelly, T.A.; Snow, R.; Coutts, S.; Perry, C. (Boehringer Ingelheim Pharmaceuticals Inc.)
来源:WO 9310127
合成路线图解说明:

Metalation of N-Boc-pyrrole (I) with the lithium amide of tetramethylpiperidine, followed by boronation with triethyl borate and acidic work-up leads to the pyrroleboronic acid (II). Subsequent catalytic hydrogenation over Pt/C provides the racemic pyrrolidineboronic acid (III). Alternatively, protection of pyrrolidine (IV) with Boc2O affords (V). After metalation of N-Boc-pyrrolidine (V) with s-butyllithium, treatment with triethyl borate gives rise to the boronic acid (III). Condensation of the racemic boronic acid (III) with (+)-pinanediol (VI) furnishes the corresponding mixture of diastereoisomeric pinanediol boronates, from which the desired isomer (VII) can be isolated by column chromatography. Further removal of the N-Boc protecting group under acidic conditions yields the pyrrolidineboronic ester (VIII). Coupling of pyrrolidine (VIII) with N-Boc-L-valine (IX) produces amide (X). The N-Boc group is then cleaved with HCl in Et2O to afford the deprotected amine (XI). Finally, removal of the pinanediol moiety by transesterification of the boronic ester (XI) with phenylboronic acid provides the desired boronic dipeptide

参考文献No.707373
标题:A practical synthesis of L-valyl-pyrrolidine-(2R)-boronic acid: Efficient recycling of the costly chiral auxiliary (+)-pinanediol
作者:Gibson, F.S.; Singh, A.K.; Soumeillant, M.C.; Manchand, P.S.; Humora, M.; Kronenthal, D.R.
来源:Org Process Res Dev 2002,6(6),814
合成路线图解说明:

Metalation of N-Boc-pyrrole (I) with the lithium amide of tetramethylpiperidine, followed by boronation with triethyl borate and acidic work-up leads to the pyrroleboronic acid (II). Subsequent catalytic hydrogenation over Pt/C provides the racemic pyrrolidineboronic acid (III). Alternatively, protection of pyrrolidine (IV) with Boc2O affords (V). After metalation of N-Boc-pyrrolidine (V) with s-butyllithium, treatment with triethyl borate gives rise to the boronic acid (III). Condensation of the racemic boronic acid (III) with (+)-pinanediol (VI) furnishes the corresponding mixture of diastereoisomeric pinanediol boronates, from which the desired isomer (VII) can be isolated by column chromatography. Further removal of the N-Boc protecting group under acidic conditions yields the pyrrolidineboronic ester (VIII). Coupling of pyrrolidine (VIII) with N-Boc-L-valine (IX) produces amide (X). The N-Boc group is then cleaved with HCl in Et2O to afford the deprotected amine (XI). Finally, removal of the pinanediol moiety by transesterification of the boronic ester (XI) with phenylboronic acid provides the desired boronic dipeptide

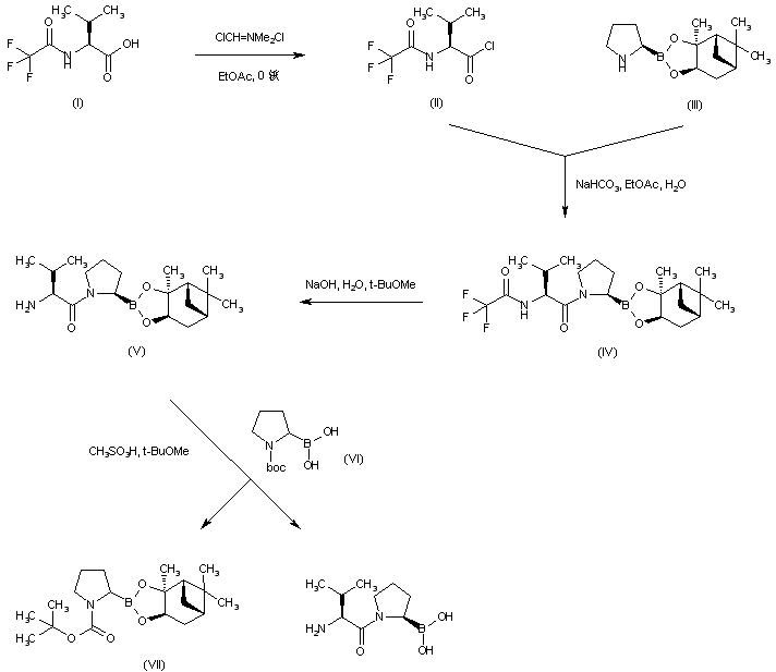
合成路线图解说明:

In a related synthetic procedure, N-trifluoroacetyl-L-valine (I) is activated as the corresponding acid chloride (II) by treatment with the Vilsmeier reagent in cold EtOAc. Coupling of (II) with the pyrrolidineboronic ester (III) yields amide (IV). The trifluoroacetyl protecting group is then removed by alkaline hydrolysis to produce (V). Finally, deprotection of the boronic acid moiety of (V) with concomitant recycling of the (+)-pinanediol chiral auxiliary is achieved by transesterification with N-Boc-2-pyrrolidineboronic acid (VI) in the presence of methanesulfonic acid to furnish the pinanediol boronate (VII) along with the title compound

参考文献No.724985
标题:Structure-activity relationships of boronic acid inhibitors of dipeptidyl peptidase IV. 1. Variation of the P2 position of Xaa-boroPro dipeptides
作者:Coutts, S.J.; Kelly, T.A.; Snow, R.J.; Kennedy, C.A.; Barton, R.W.; Adams, J.; Krolikowski, D.A.; Freeman, D.M.; Campbell, S.J.; Ksiazek, J.F.; Bachovchin, W.W.
来源:J Med Chem 1996,39(10),2087
合成路线图解说明:

Metalation of N-Boc-pyrrole (I) with the lithium amide of tetramethylpiperidine, followed by boronation with triethyl borate and acidic work-up leads to the pyrroleboronic acid (II). Subsequent catalytic hydrogenation over Pt/C provides the racemic pyrrolidineboronic acid (III). Alternatively, protection of pyrrolidine (IV) with Boc2O affords (V). After metalation of N-Boc-pyrrolidine (V) with s-butyllithium, treatment with triethyl borate gives rise to the boronic acid (III). Condensation of the racemic boronic acid (III) with (+)-pinanediol (VI) furnishes the corresponding mixture of diastereoisomeric pinanediol boronates, from which the desired isomer (VII) can be isolated by column chromatography. Further removal of the N-Boc protecting group under acidic conditions yields the pyrrolidineboronic ester (VIII). Coupling of pyrrolidine (VIII) with N-Boc-L-valine (IX) produces amide (X). The N-Boc group is then cleaved with HCl in Et2O to afford the deprotected amine (XI). Finally, removal of the pinanediol moiety by transesterification of the boronic ester (XI) with phenylboronic acid provides the desired boronic dipeptide

Drug Information Express,Drug R&D,Chemical Database,Patent Search.
Copyright © 2006-2026 Drug Future. All rights reserved.Contact Us