【药物名称】
化学结构式(Chemical Structure):
参考文献No.619527
标题:Diguanidino and " reversed" diamidino 2,5-diaryulfurans as antimicrobial agents
作者:Stephens, C.E.; Tanious, F.A.; Kim, S.; Wilson, W.D.; Schell, W.A.; Perfect, J.R.; Franzblau, S.G.; Boykin, D.W.
来源:J Med Chem 2001,44(11),1741
合成路线图解说明:

Stille coupling between 2,5-bis(tri-n-butylstannyl)furan (I) and 2-bromo-5-nitroanisole (II) produced the 2,5-bis(4-nitrophenyl)furan (III), which was further reduced to the diamino derivative (IV) by catalytic hydrogenation over Pd/C. The title diamidine was then obtained by reaction of diamine (IV) with the S-(2-naphthylmethyl)thioimidate (V).

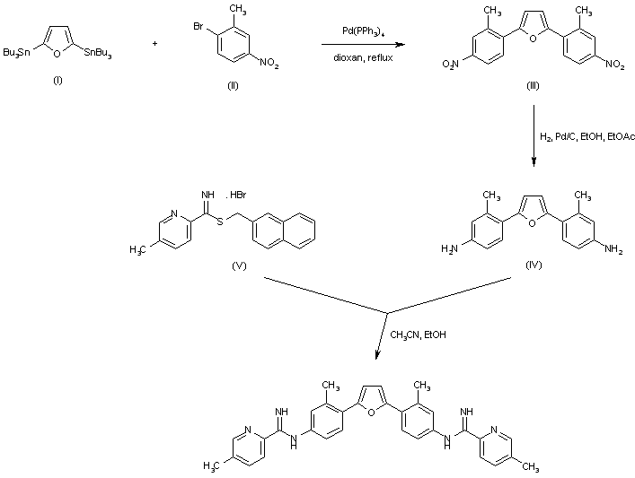
合成路线图解说明:

Stille coupling between 2,5-bis(tri-n-butylstannyl)furan (I) and 2-bromo-5-nitrotoluene (II) produced the 2,5-bis(4-nitrophenyl)furan (III), which was further reduced to the diamino derivative (IV) by catalytic hydrogenation over Pd/C. The title diamidine was then obtained by reaction of diamine (IV) with the (S)-(2-naphthylmethyl)thioimidate (V).

Drug Information Express,Drug R&D,Chemical Database,Patent Search.
Copyright © 2006-2026 Drug Future. All rights reserved.Contact Us