【药物名称】
化学结构式(Chemical Structure):
参考文献No.618280
标题:Synthesis and cytotoxic activity of 7-oxo-7H-dibenz [f,ij]isoquinoline and 7-oxo-7H-benzo[e]perimidine derivatives
作者:Bu, X.; Deady, L.W.; Finlay, G.J.; Baguley, B.C.; Denny, W.A.
来源:J Med Chem 2001,44(12),2004
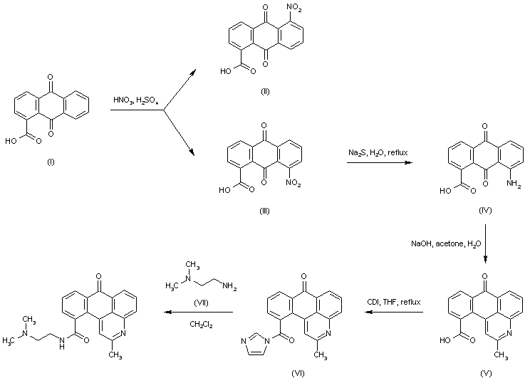
合成路线图解说明:

Nitration of anthraquinone-1-carboxylic acid (I) produced a mixture of 5-nitro (II) and 8-nitro (III) anthraquinones from which the desired 8-nitro isomer (III) was separated by fractional crystallization from ethanol and further purified by washing with toluene. Reduction of the nitro group of (III) with aqueous sodium sulfide gave 8-aminoanthraquinone-1-carboxylic acid (IV). Condensation of (IV) with acetone in the presence of NaOH furnished the dibenzoisoquinolinone system (V). After activation of the carboxylate group of (V) as the imidazolide (VI) upon treatment with carbonyldiimidazole, its coupling with N,N-dimethylethylenediamine (VII) afforded the target amide.

Drug Information Express,Drug R&D,Chemical Database,Patent Search.
Copyright © 2006-2026 Drug Future. All rights reserved.Contact Us