【药物名称】
化学结构式(Chemical Structure):
参考文献No.47287
标题:Diacylhydrazine derivs.
作者:Sulyok, G.; Kessler, H.; Holzemann, G.; Goodman, S.; Gibson, C. (Merck Patent GmbH)
来源:DE 19932796; WO 0105753
合成路线图解说明:

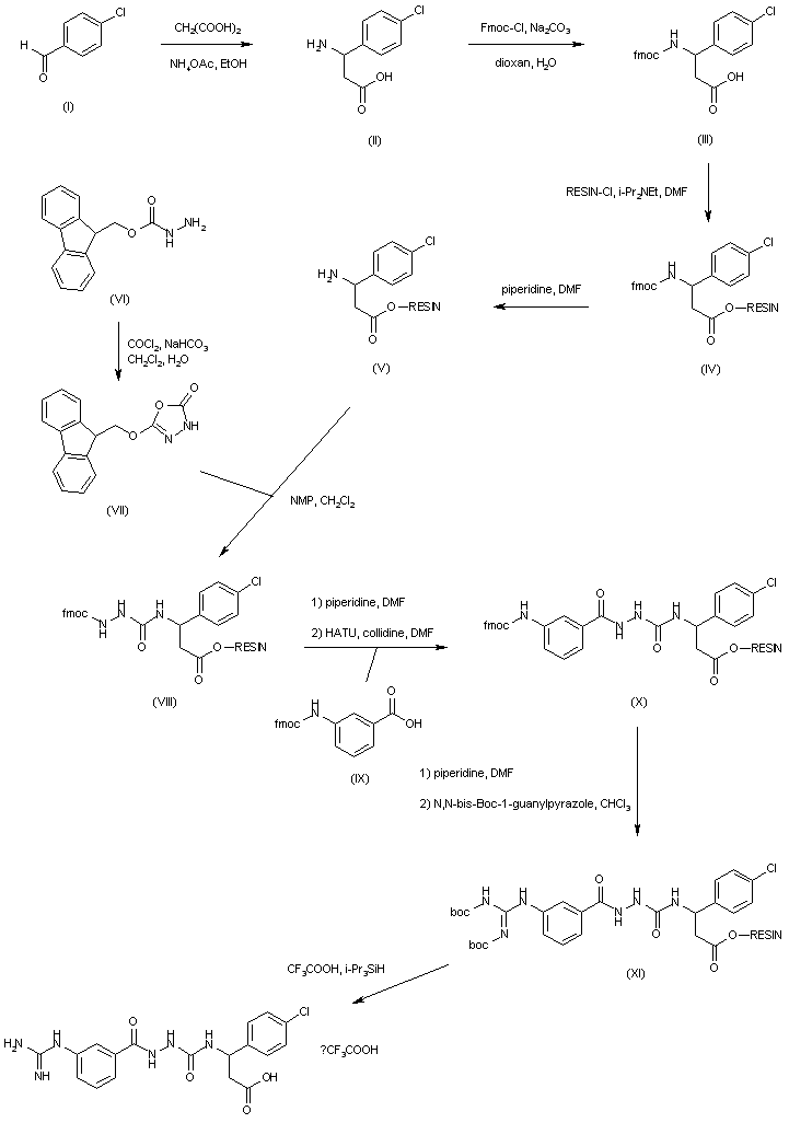
The beta-amino acid (II) was prepared by Knoevenagel condensation of 4-chlorobenzaldehyde (I) with malonic acid in the presence of ammonium acetate. After protection of the amino group of (II) with Fmoc-Cl, the protected amino acid (III) was attached to the trityl chloride polystyrol resin, yielding the amino acid-bound resin (IV). The Fmoc group of (IV) was then removed using piperidine in DMF to afford (V). N-Fmoc-hydrazine (VI) was carbonylated with phosgene to obtain the oxadiazolone (VII). This was condensed with the amino resin (V) producing adduct (VIII). Deprotection of the Fmoc group of (VIII), followed by coupling with N-Fmoc-3-aminobenzoic acid (IX), furnished (X). After a new deprotection of (X) with piperidine in DMF, the guanidino group was introduced by condensation with N,N'-bis-Boc-1-guanylpyrazole to give (XI). Finally, deprotection and cleavage of the resin adduct (XI) was carried out with trifluoroacetic acid in the presence of triisopropylsilane.

参考文献No.618279
标题:Solid-phase synthesis of a nonpeptide RGD mimetic library: New selective alphavbeta3 integrin antagonists
作者:Sulyok, G.A.G.; Gibson, C.; Goodman, S.L.; Holzemann, G.; Wiesner, M.; Kessler, H.
来源:J Med Chem 2001,44(12),1938
合成路线图解说明:

The beta-amino acid (II) was prepared by Knoevenagel condensation of 4-chlorobenzaldehyde (I) with malonic acid in the presence of ammonium acetate. After protection of the amino group of (II) with Fmoc-Cl, the protected amino acid (III) was attached to the trityl chloride polystyrol resin, yielding the amino acid-bound resin (IV). The Fmoc group of (IV) was then removed using piperidine in DMF to afford (V). N-Fmoc-hydrazine (VI) was carbonylated with phosgene to obtain the oxadiazolone (VII). This was condensed with the amino resin (V) producing adduct (VIII). Deprotection of the Fmoc group of (VIII), followed by coupling with N-Fmoc-3-aminobenzoic acid (IX), furnished (X). After a new deprotection of (X) with piperidine in DMF, the guanidino group was introduced by condensation with N,N'-bis-Boc-1-guanylpyrazole to give (XI). Finally, deprotection and cleavage of the resin adduct (XI) was carried out with trifluoroacetic acid in the presence of triisopropylsilane.

Drug Information Express,Drug R&D,Chemical Database,Patent Search.
Copyright © 2006-2026 Drug Future. All rights reserved.Contact Us